Open Access
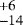
Table 2
Best-fit parameters for the centro-symmetric Gaussian ring model with 1 σ error bars.
| # | Name | cos i | i | PA | fc | fh | Half-flux radius a | w | |||
|---|---|---|---|---|---|---|---|---|---|---|---|
| – | – | (°) | (°) | (%) | (%) | (mas) | (au) | – | – | ||
| 1 | DG Tau | 0.65 ± 0.04 | 49 ± 4 | 143 ± 12 | 45 ± 5 | 31 ± 2 | 1.0 ± 0.1 | 0.125 ± 0.01 | 0.997 |
1.94 (4.56) | |
| 2 | DR Tau | 0.95 ± 0.07 | 18 |
14 ± 41 | 90 ± 5 | 0 ± 2 | 0.48 |
0.092 |
0.17 |
2.97 (2.96) | |
| 3 | RY Tau | 0.50 ± 0.01 | 60 ± 1 | 8 ± 1 | 50 ± 5 | 7 ± 2 | 2.45 |
0.34 ± 0.03 | 0.99 |
4.77 (5.09) | |
| 4 | T Tau N | 0.82 ± 0.04 | 35 ± 4 | 93 ± 9 | 31 ± 4 | 9 ± 2 | 1.74 ± 0.08 | 0.25 ± 0.01 | 0.10 |
2.05 (3.63) | |
| 5 | GQ Lup | 0.93 ± 0.03 | 22 ± 6 | 180 ± 3 | 40 ± 20 | 7 ± 2 | 0.81 ± 0.12 | 0.13 ± 0.02 | 0.11 |
3.14 (5.33) | |
| 6 | IM Lup | 0.51 ± 0.05 | 59 ± 4 | 139 ± 3 | 40 ± 20 | 5 ± 2 | 1.00 |
0.16 |
0.30 |
2.64 (4.02) | |
| 7 | RU Lup | 0.96 ± 0.03 | 16 |
99 ± 31 | 30 ± 10 | 12 ± 3 | 1.32 |
0.21 |
0.71 |
2.14 (2.87) | |
| 8 | RY Lup | 0.60 ± 0.07 | 53 ± 5 | 73 ± 2 | 25 ± 2 | 10 ± 2 | 1.00 ± 0.07 | 0.16 ± 0.01 | 0.99 |
1.09 (2.10) | |
| 9 | S CrA N | 0.89 ± 0.02 | 27 ± 3 | 1 ± 6 | 50 ± 10 | 6 ± 2 | 1.05 |
0.17 ± 0.02 | 0.49 |
1.13 (1.84) | |
| 10 | S CrA S | 0.86 ± 0.04 | 31 ± 5 | 176 ± 8 | 40 ± 10 | 9 ± 2 | 0.83 |
0.12 ± 0.01 | 0.15 |
0.82 (4.38) | |
| 11 | VV CrA SW | 0.85 ± 0.02 | 32 ± 3 | 91 ± 6 | 84 ± 4 | 14 ± 3 | 1.00 ± 0.05 | 0.157 ± 0.007 | 0.994 |
5.24 (9.46) | |
| 12 | V2062 Oph | 0.85 ± 0.03 | 32 ± 4 | 137 ± 4 | 21 ± 12 | 6 ± 2 | 1.07 |
0.16 ± 0.02 | 0.95 |
0.67 (1.09) | |
| 13 | V2129 Oph | 0.66 ± 0.06 | 49 ± 5 | 77 ± 7 | 28 ± 6 | 6 ± 2 | 0.79 |
0.10 ± 0.02 | 0.98 |
1.10 (1.30) | |
| 14 | AS 205 N | 0.72 ± 0.02 | 44 ± 2 | 90 ± 1 | 50 ± 10 | 9 ± 2 | 1.17 |
0.16 ± 0.01 | 0.125 |
3.92 (5.92) | |
| 15 | AS 353 | 0.76 ± 0.02 | 41 ± 2 | 173 ± 3 | 50 ± 20 | 9 ± 2 | 0.71 |
0.28 |
0.98 |
0.62 (2.70) | |
| 16 | DI Cha | 0.86 ± 0.02 | 31 ± 3 | 42 ± 5 | 60 ± 10 | 6 ± 2 | 0.95 ± 0.05 | 0.18 ± 0.01 | 0.14 |
3.16 (4.02) | |
| 17 | TW Hya | 0.97 ± 0.03 | 14 |
130 ± 32 | 12 ± 2 | 2 ± 2 | 0.69 ± 0.05 | 0.042 ± 0.003 | 0.89 |
0.16 (0.26) | |
Notes. The
computation includes both visibilities and closure phases. For the sake of comparison, the
values in parentheses correspond to the centro-symmetric model without the halo contribution. See Sect. 5.1 for details.
Current usage metrics show cumulative count of Article Views (full-text article views including HTML views, PDF and ePub downloads, according to the available data) and Abstracts Views on Vision4Press platform.
Data correspond to usage on the plateform after 2015. The current usage metrics is available 48-96 hours after online publication and is updated daily on week days.
Initial download of the metrics may take a while.