Open Access
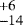
Table 4
Inclinations and position angles of the inner disks as derived from GRAVITY observations (this work) and of the outer disks as derived from ALMA observations for nine targets of our sample.
| # | Object | iin (°) | PAin (°) | iout (°) | PAout (°) | References |
|---|---|---|---|---|---|---|
| 1 | DG Tau | 49 ± 4 | 143 ± 12 | 41 ± 2 | 128 ± 16 | Podio et al. (2019) |
| 3 | RY Tau | 60 ± 1 | 8 ± 1 | 65 | 23 | Francis & van der Marel (2020) |
| 5 | GQ Lup | 22 ± 6 | 180 ± 3 | 60.5 ± 0.5 | 346 ± 1 | MacGregor et al. (2017) |
| 6 | IM Lup | 59 ± 4 | 139 ± 3 | 47.5 ± 0.5 | 144 ± 0.7 | Huang et al. (2018) |
| 7 | RU Lup | 16 |
99 ± 31 | 18.5 ± 2 | 121.5 ± 7 | Huang et al. (2018) |
| 8 | RY Lup | 53 ± 5 | 73 ± 2 | 67 | 109 | Francis & van der Marel (2020) |
| 12 | V2062 Oph | 32 ± 4 | 137 ± 4 | 20 | 30 | Francis & van der Marel (2020) |
| 14 | AS 205 N | 44 ± 2 | 90 ± 1 | 20.1 ± 3.3 | 114.0 ± 11.8 | Kurtovic et al. (2018) |
| 17 | TW Hya | 14 |
130 ± 32 | 7 | 155 | Francis & van der Marel (2020) |
Notes. The first column reports the numbering of Table 1. The last column gives the corresponding references for the ALMA estimations.
Current usage metrics show cumulative count of Article Views (full-text article views including HTML views, PDF and ePub downloads, according to the available data) and Abstracts Views on Vision4Press platform.
Data correspond to usage on the plateform after 2015. The current usage metrics is available 48-96 hours after online publication and is updated daily on week days.
Initial download of the metrics may take a while.