Open Access

Fig. 6.

image

Download original image

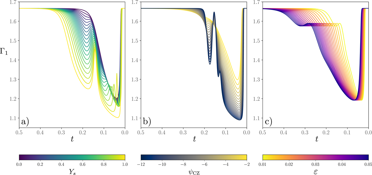
Γ1(t) profiles obtained by considering various sets (Ys, ψCZ, ε) around a reference that corresponds to a Γ1 profile approaching that of the Sun (see Sect. 4.2). (a) Dependence of the profile on 0 ≤ Ys ≤ 1. (b) Dependence of the profile on −12 ≤ ψCZ ≤ −2. (c) Dependence of the profile on 0.01 ≤ ε ≤ 0.05.

Current usage metrics show cumulative count of Article Views (full-text article views including HTML views, PDF and ePub downloads, according to the available data) and Abstracts Views on Vision4Press platform.

Data correspond to usage on the plateform after 2015. The current usage metrics is available 48-96 hours after online publication and is updated daily on week days.

Initial download of the metrics may take a while.