Open Access

Fig. 8.

image

Download original image

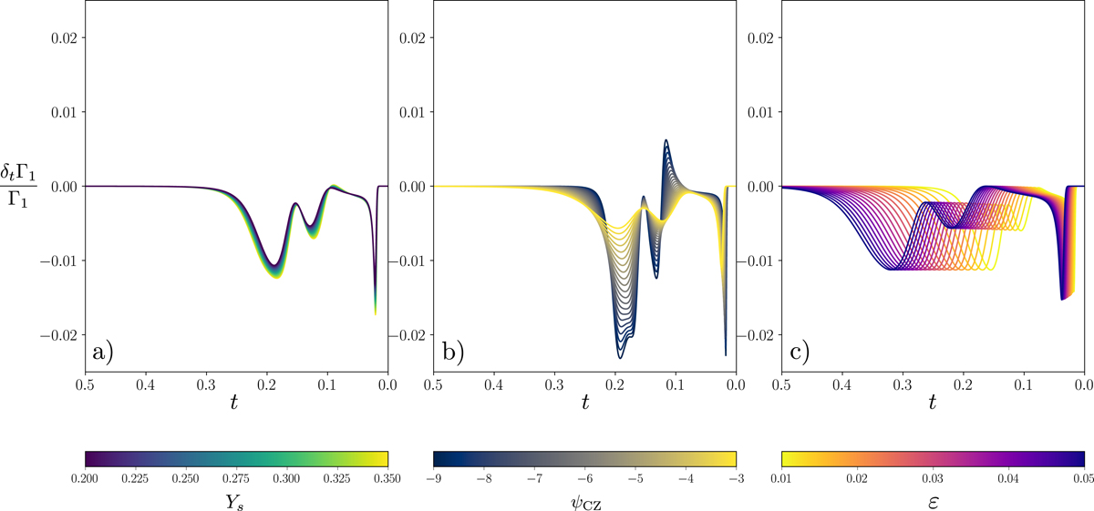
Profile differences δtΓ11 = [Γ1(t;Ys+δYs,ψCZ,ε)−Γ1(t;Ys,ψCZ,ε)]/Γ1 obtained for a fixed value of δYs = 0.05 and various sets (Ys, ψCZ, ε) (the values used here are not the same as those in Fig. 6) around the reference = (0.255, −5, 0.015) as a function of the normalised acoustic depth t. (a) Dependence on 0.2 ≤ Ys ≤ 0.35. (b) Dependence on −9 ≤ ψCZ ≤ −3. (c) Dependence on 0.01 ≤ ε ≤ 0.05.

Current usage metrics show cumulative count of Article Views (full-text article views including HTML views, PDF and ePub downloads, according to the available data) and Abstracts Views on Vision4Press platform.

Data correspond to usage on the plateform after 2015. The current usage metrics is available 48-96 hours after online publication and is updated daily on week days.

Initial download of the metrics may take a while.