Open Access

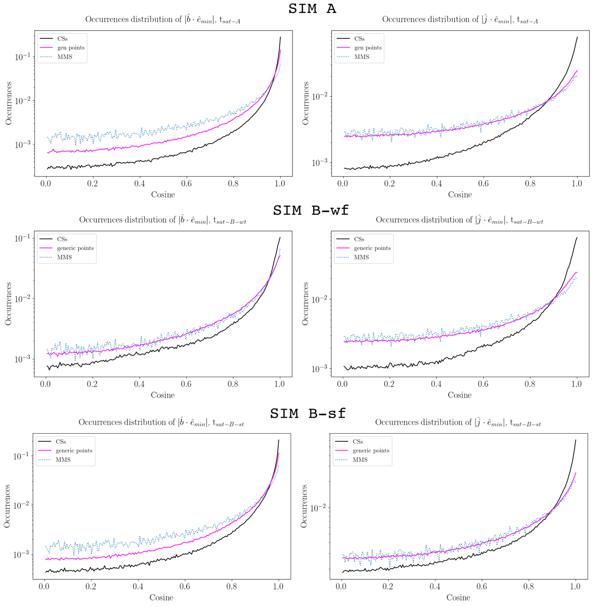
Fig. 9.

image

Download original image

Normalized occurrence distribution of |b ⋅ emin| (left column) and |j ⋅ emin| (right column) for all three simulations. Magenta is used to show the distribution for generic points, and black corresponds to points belonging to current structures. The distribution refers to times at fully developed turbulence, in particular tsatA for SIM A, tsatB − wf for SIM B-wf, and tsatB − sf for SIM B-sf. The distribution refers to times at fully developed turbulence, in particular tsatA for SIM A, tsatB − wf for SIM B-wf, and tsatB − sf for SIM B-sf. We superposed these distributions, obtained from simulations, to the ones obtained using satellite data (dotted blue line) from the two high-resolution magnetosheath intervals analyzed in Stawarz et al. (2019), see Appendix B for details.

Current usage metrics show cumulative count of Article Views (full-text article views including HTML views, PDF and ePub downloads, according to the available data) and Abstracts Views on Vision4Press platform.

Data correspond to usage on the plateform after 2015. The current usage metrics is available 48-96 hours after online publication and is updated daily on week days.

Initial download of the metrics may take a while.