Free Access

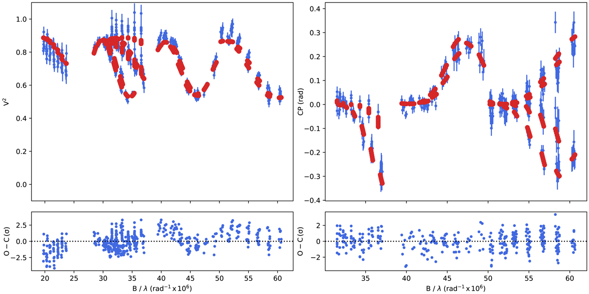
Fig. 2.

image

Download original image

Squared visibility and closure phase measurements from one observation of AaAb taken in March 2021. The data are in blue, while the red dots represent the best binary model fitted with CANDID for this epoch. Bottom panels: residuals in the number of sigmas.

Current usage metrics show cumulative count of Article Views (full-text article views including HTML views, PDF and ePub downloads, according to the available data) and Abstracts Views on Vision4Press platform.

Data correspond to usage on the plateform after 2015. The current usage metrics is available 48-96 hours after online publication and is updated daily on week days.

Initial download of the metrics may take a while.