Free Access

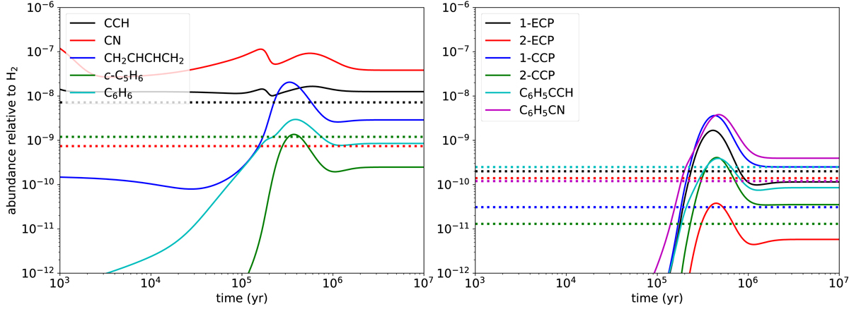
Fig. 3.

image

Download original image

Calculated abundances of CCH and CN derivatives of c-C5H6 and C6H6 (right panel) and of their precursors (left panel). The horizontal dotted lines correspond to the abundances observed in TMC-1.

Current usage metrics show cumulative count of Article Views (full-text article views including HTML views, PDF and ePub downloads, according to the available data) and Abstracts Views on Vision4Press platform.

Data correspond to usage on the plateform after 2015. The current usage metrics is available 48-96 hours after online publication and is updated daily on week days.

Initial download of the metrics may take a while.