Fig. 3.

Download original image
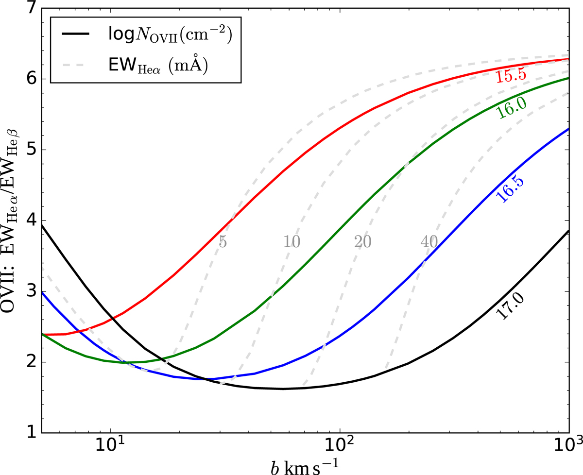
Theoretical O VII Heα and β line equivalent width ratio as a function of line width b. The solid curves show the EWHeα/EWHeβ -ratio for various O VII ion column densities, as labeled. The dashed lines show a selection of constant EWHeα curves in this plane, excluding the parameter regions where the associated ion column densities exceed NOVII = 1017 cm−2. When moving, at fixed column density (i.e., along a solid curve), from high to low b–values, the equivalent width ratio decreases gradually from its optically thin value, due to the stronger saturation of the Heα line relative to that of the weaker β line. When Heα line saturation reaches the damped regime, the opposite behaviour takes place. These properties suggest that the EWHeα/EWHeβ -ratio can be utilized as a sensitive diagnostic tool for b in the range of X-ray detectable O VII ion column densities, especially for low line-of-sight gas velocity dispersions.
Current usage metrics show cumulative count of Article Views (full-text article views including HTML views, PDF and ePub downloads, according to the available data) and Abstracts Views on Vision4Press platform.
Data correspond to usage on the plateform after 2015. The current usage metrics is available 48-96 hours after online publication and is updated daily on week days.
Initial download of the metrics may take a while.