Fig. 18

Download original image
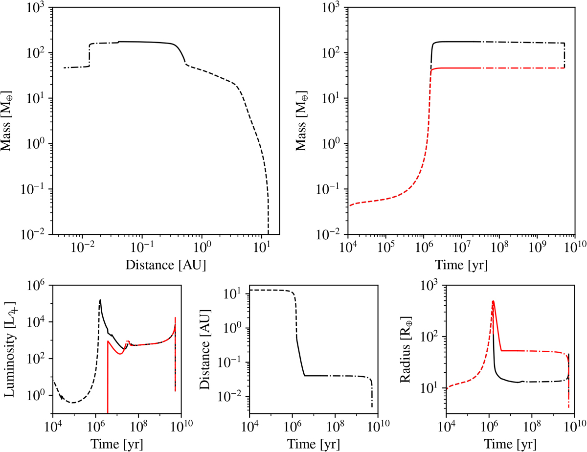
Formation and evolution tracks of one giant planet that ends up being accreted by the star during the evolution stage due to tidal migration. Top left: total mass Mtot versus distance; top right: total mass Mtot (black) and core mass Mcore (red) versus time; bottom left: total luminosity Ltot (black) and the bloating contribution Lbloat (red) versus time; bottom centre: distance versus time; bottom right: total radius Rtot (black) and outer (attached phase) or Hill (detached phase) radius (red) versus time.
Current usage metrics show cumulative count of Article Views (full-text article views including HTML views, PDF and ePub downloads, according to the available data) and Abstracts Views on Vision4Press platform.
Data correspond to usage on the plateform after 2015. The current usage metrics is available 48-96 hours after online publication and is updated daily on week days.
Initial download of the metrics may take a while.