Open Access

Fig. 4

image

Download original image

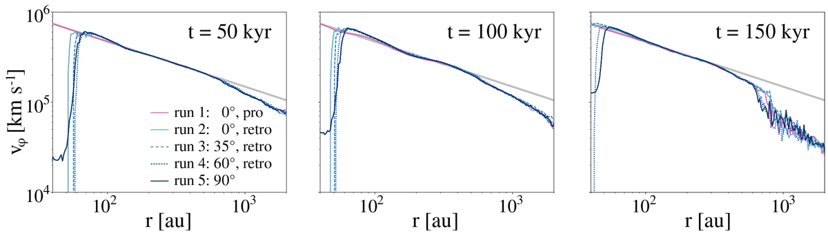
Average azimuthal velocity vϕ profile of the outer disk for run 1 (purple solid line) and run 2 (solid), run 3 (dashed), run 4 (dotted), run 5 (solid) at t = 50 kyr (left panel), t = 100 kyr (middle panel), and t = 150 kyr (right panel). The darker the color of a line, the larger the inclination angle α. We note that vϕ was computed within a vertical extent of |z| < max(6 AU, 0.05r) from the midplane of the disk for 300 logarithmically spaced radial bins in the range from 10 to 104 AU. The gray line is the Keplerian profile for a 2.5 M star.

Current usage metrics show cumulative count of Article Views (full-text article views including HTML views, PDF and ePub downloads, according to the available data) and Abstracts Views on Vision4Press platform.

Data correspond to usage on the plateform after 2015. The current usage metrics is available 48-96 hours after online publication and is updated daily on week days.

Initial download of the metrics may take a while.