Open Access

Fig. 7

image

Download original image

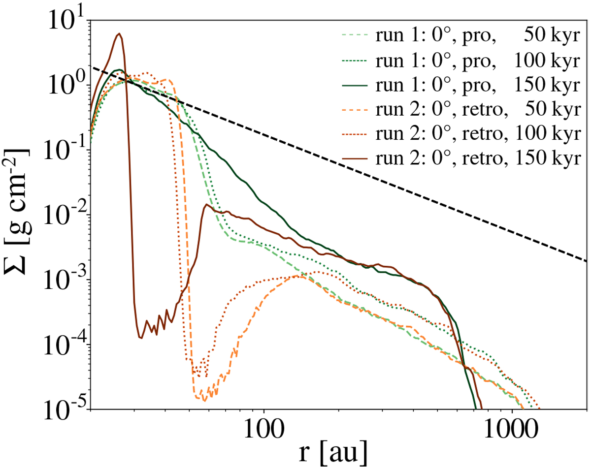
Column density Σ over radius r for prograde infall without an inclination angle in run 1 (green colors) and retrograde infall without an inclination angle in run 2 (orange colors) at t = 50 kyr (dashed lines), t = 100 kyr (dotted lines), and t = 150 kyr (solid lines).The darkness of the line colors indicates the evolution in time from 50 kyr (lightest color) to the final time (darkest color) at t = 150 kyr. The black dashed line corresponds to a theoretical column density profile for Σ0 = 170 g cm−2 and p = 1.5 which extends to 2000 AU.

Current usage metrics show cumulative count of Article Views (full-text article views including HTML views, PDF and ePub downloads, according to the available data) and Abstracts Views on Vision4Press platform.

Data correspond to usage on the plateform after 2015. The current usage metrics is available 48-96 hours after online publication and is updated daily on week days.

Initial download of the metrics may take a while.