Fig. 6.

Download original image
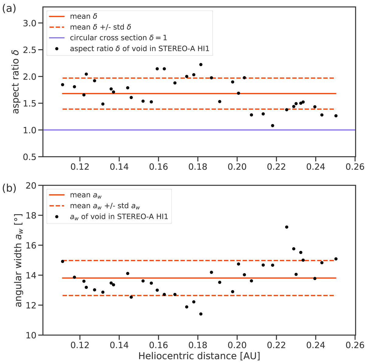
Measurements of the aspect ratio δ and angular width aw of the CME void in STEREO-A HI1 images, plotted against heliocentric distance. Panel a: observed δ (black dots), mean and standard deviation (red solid and dashed lines), and a blue line at δ = 1 indicates the value for a circular cross–section. Panel b: angular width aw derived from STEREO-A HI1 images (black dots), with mean and standard deviation as solid and dashed red lines.
Current usage metrics show cumulative count of Article Views (full-text article views including HTML views, PDF and ePub downloads, according to the available data) and Abstracts Views on Vision4Press platform.
Data correspond to usage on the plateform after 2015. The current usage metrics is available 48-96 hours after online publication and is updated daily on week days.
Initial download of the metrics may take a while.