Free Access

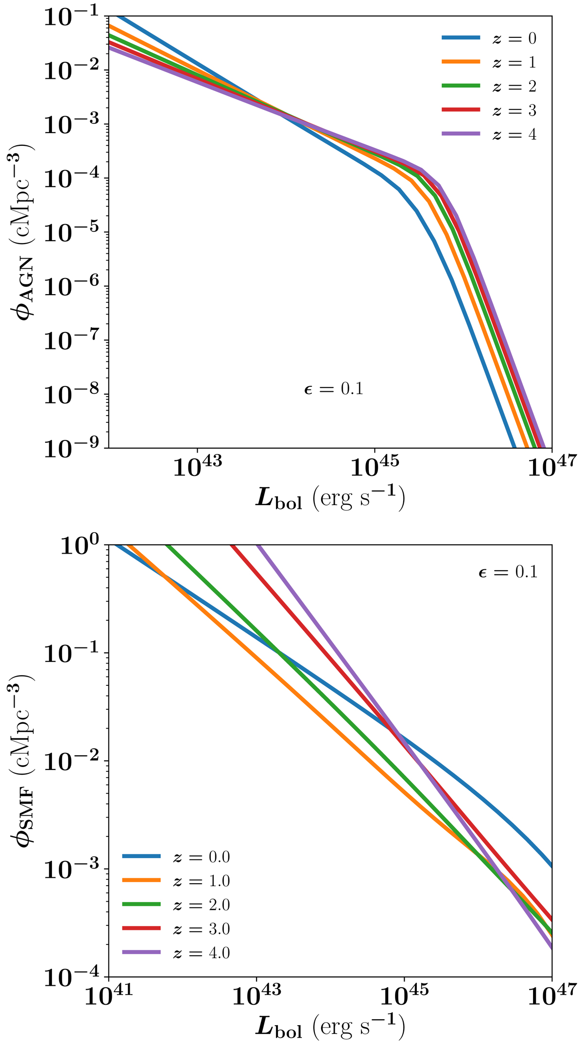
Fig. 2.

image

Download original image

Observed stellar mass and luminosity functions used in this work. Top panel: observed AGN luminosity function, ϕAGN(LBol(M*, z)) at different redshifts from the X-ray data of Aird et al. (2015) and using the bolometric correction of Runnoe et al. (2012) to convert X-ray luminosity to bolometric luminosity. Lower panel: stellar mass functions compiled from the latest WINGS (Vulcani et al. 2011, z ∼ 0) and COSMOS (Davidzon et al. 2017, z ∼ 0.2 − 5) survey data converted into the equivalent ϕSMF(LBol) by using the relation between LBol and M* via MBH.

Current usage metrics show cumulative count of Article Views (full-text article views including HTML views, PDF and ePub downloads, according to the available data) and Abstracts Views on Vision4Press platform.

Data correspond to usage on the plateform after 2015. The current usage metrics is available 48-96 hours after online publication and is updated daily on week days.

Initial download of the metrics may take a while.