Free Access

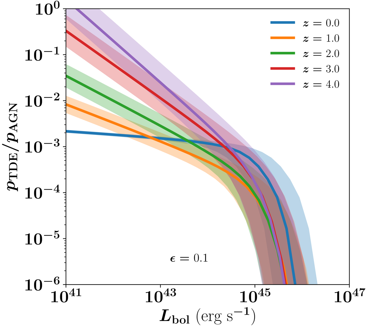
Fig. 3.

image

Download original image

Ratio pTDE/pAGN for an assumed population of AGN having a radiative efficiency ϵ = 0.1, at various redshifts. The shaded areas indicate the uncertainty induced by the scatter in the Lbol − M* relation at various redshifts.

Current usage metrics show cumulative count of Article Views (full-text article views including HTML views, PDF and ePub downloads, according to the available data) and Abstracts Views on Vision4Press platform.

Data correspond to usage on the plateform after 2015. The current usage metrics is available 48-96 hours after online publication and is updated daily on week days.

Initial download of the metrics may take a while.