Free Access

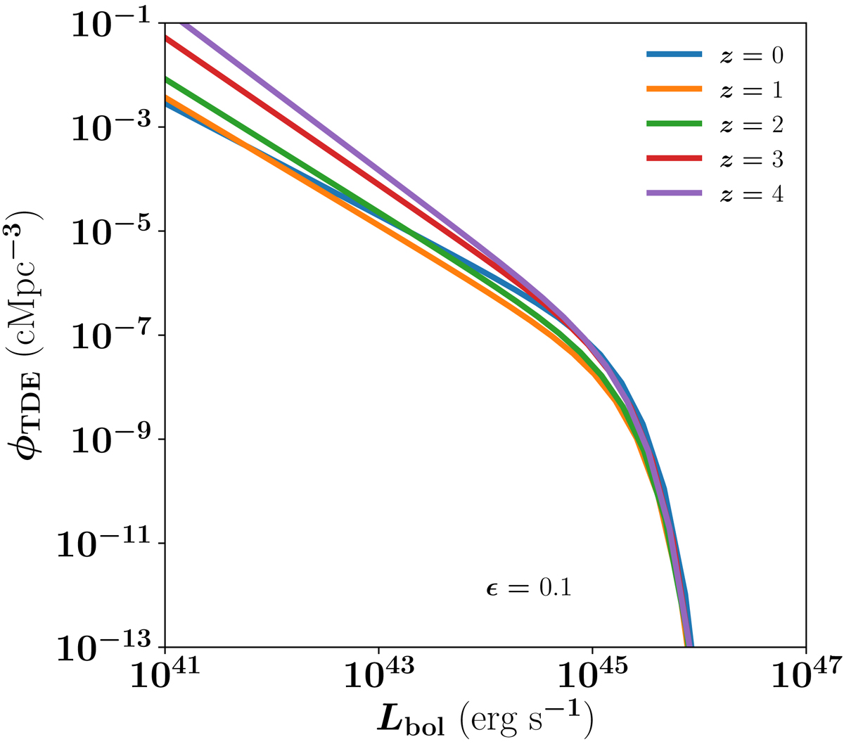
Fig. 4.

image

Download original image

Predicted luminosity function of TDE flares contributing to AGN, ϕTDE ≡ pTDE × ϕSMF, for an assumed population having radiative efficiency ϵ = 0.1. The predicted ϕTDE serves as a lower limit on the luminosity function of changing look quasars, assuming their intrinsic parameters remain redshift independent.

Current usage metrics show cumulative count of Article Views (full-text article views including HTML views, PDF and ePub downloads, according to the available data) and Abstracts Views on Vision4Press platform.

Data correspond to usage on the plateform after 2015. The current usage metrics is available 48-96 hours after online publication and is updated daily on week days.

Initial download of the metrics may take a while.