Fig. 10

Download original image
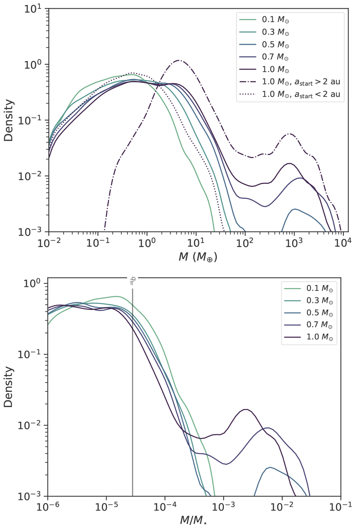
Kernel-density estimates of the close-in (P < 300 d) planetary mass distribution (top) and the planetary to stellar mass ratio (bottom) for populations of planets around different stellar masses. The bandwidth of the Gaussian kernel was chosen following the Normal reference rule (Scott 1992). Top panel: the population around solar-type stars is shown three times: once in full, once only including planets that started within (i.e., a(t = 0) < 2 au), respectively, outside 2 au. In the bottom panel, the break in the distribution at qbr = 2.8 × 10−5 that was found by Pascucci et al. (2018) is depicted as a gray, vertical line.
Current usage metrics show cumulative count of Article Views (full-text article views including HTML views, PDF and ePub downloads, according to the available data) and Abstracts Views on Vision4Press platform.
Data correspond to usage on the plateform after 2015. The current usage metrics is available 48-96 hours after online publication and is updated daily on week days.
Initial download of the metrics may take a while.