Open Access

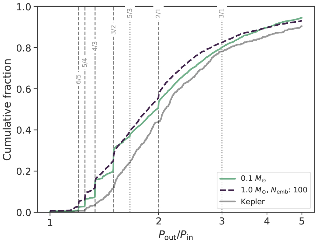
Fig. 16

image

Download original image

Orbital period ratio of all neighboring planets including planets with M > 0.1 M and periods P < 300 days. Two synthetic populations of planets are shown: one around a solar-type star with initially 100 embryos (NG76) and one around stars with a mass of 0.1 M (NGM10). The Kepler multi-planetary system period ratios are displayed for reference (NASA Exoplanet Archive, accessed 9.12.2019).

Current usage metrics show cumulative count of Article Views (full-text article views including HTML views, PDF and ePub downloads, according to the available data) and Abstracts Views on Vision4Press platform.

Data correspond to usage on the plateform after 2015. The current usage metrics is available 48-96 hours after online publication and is updated daily on week days.

Initial download of the metrics may take a while.