Open Access

Fig. 19

image

Download original image

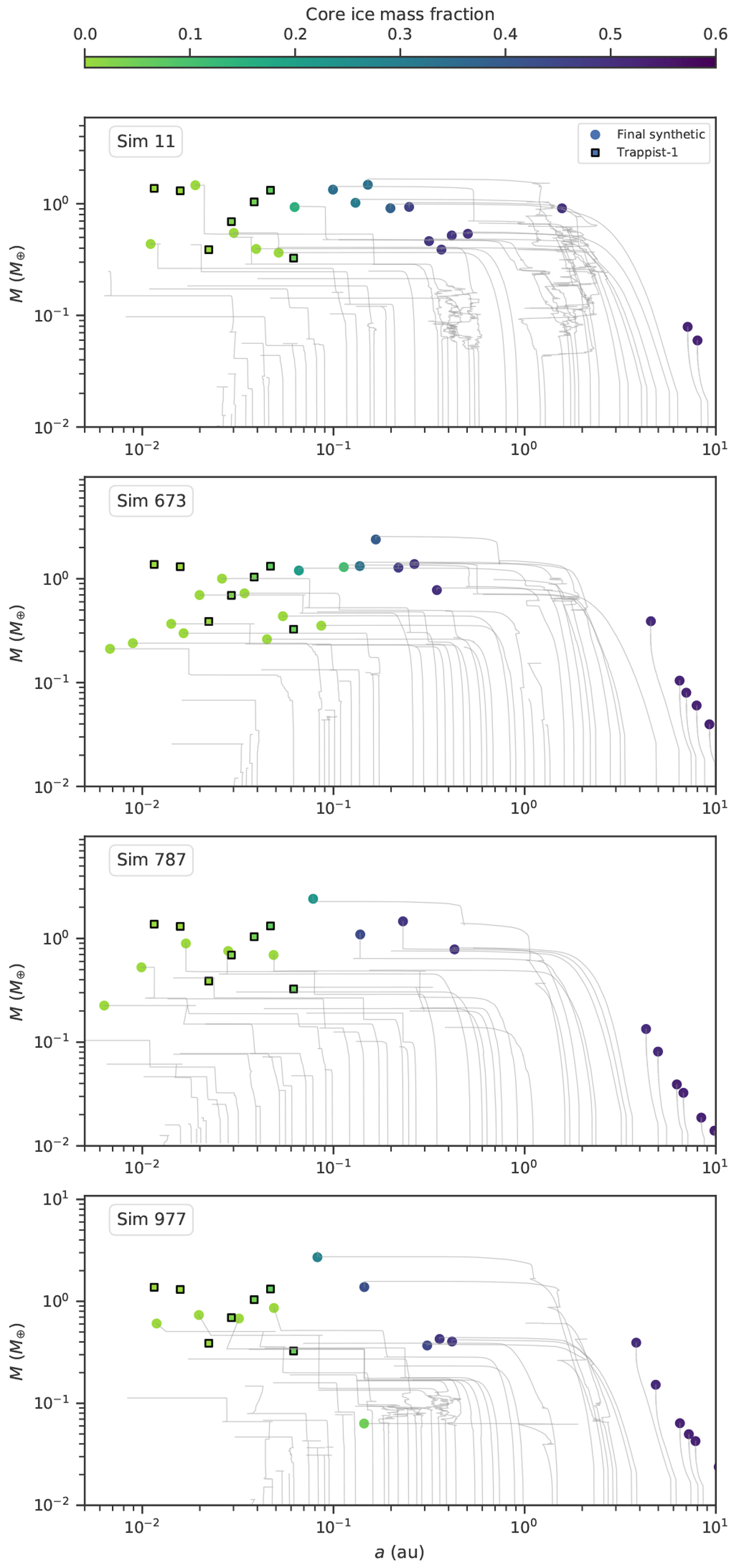
Synthetic systems with final planetary masses most similar to the Trappist-1 system. The mass difference to the observed masses (Agol et al. 2021) are −0.17 M, 0.14 M, −0.15 M, and 0.00 M. Thin lines denote the evolution over time of individual planets. If they stop without ending in a colored dot, the corresponding embryo was ejected or accreted by a more massive planet. Despite closely matching in total mass, significant differences between systems are visible.

Current usage metrics show cumulative count of Article Views (full-text article views including HTML views, PDF and ePub downloads, according to the available data) and Abstracts Views on Vision4Press platform.

Data correspond to usage on the plateform after 2015. The current usage metrics is available 48-96 hours after online publication and is updated daily on week days.

Initial download of the metrics may take a while.