Fig. 2

Download original image
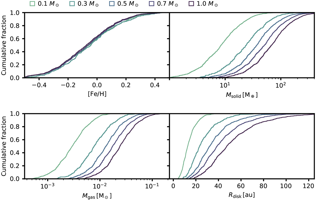
Cumulative distributions of initial conditions and resulting quantities for different M⋆. The Monte Carlo parameters [Fe/H] and Mgas can be converted to initial solid disk masses (Msolid = 10[Fe∕H]fdg,⊙Mgas, where fdg,⊙ = 0.0149 following Lodders 2003) and disk truncation radii (, following Andrews et al. 2010). We chose to distribute [Fe/H] equally for all host star masses.
Current usage metrics show cumulative count of Article Views (full-text article views including HTML views, PDF and ePub downloads, according to the available data) and Abstracts Views on Vision4Press platform.
Data correspond to usage on the plateform after 2015. The current usage metrics is available 48-96 hours after online publication and is updated daily on week days.
Initial download of the metrics may take a while.