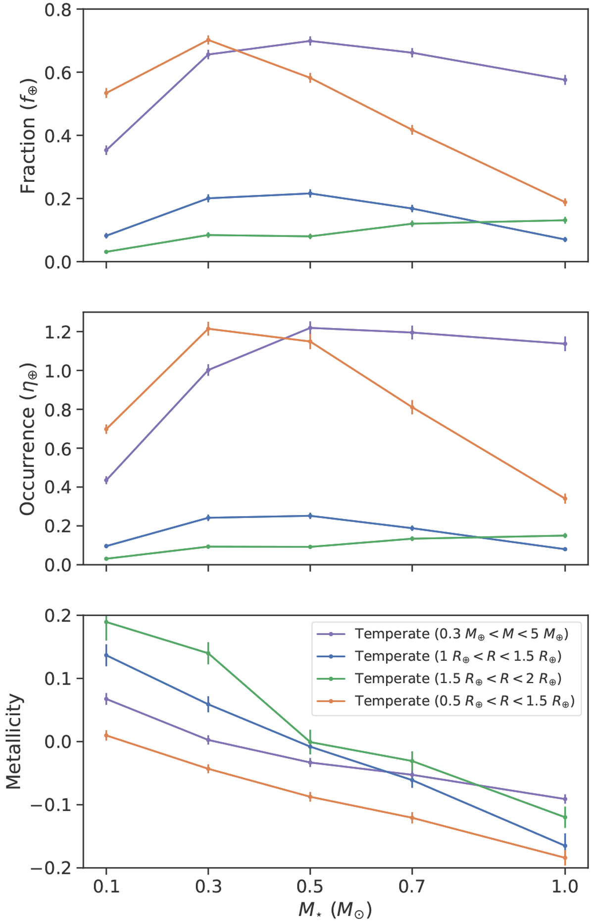
Fig. 9

Download original image
Fraction (upper), occurrence rate (middle), and mean host-star metallicity of synthetic planets with masses or radii similar to Earth in the temperate zone (Kopparapu et al. 2014). The error-bars depict the standard error of the mean. The cuts based on radii are the same as in Dressing & Charbonneau (2015) and Bryson et al. (2021). The resulting f⊕ and η⊕ sensitively depend on this choice.
Current usage metrics show cumulative count of Article Views (full-text article views including HTML views, PDF and ePub downloads, according to the available data) and Abstracts Views on Vision4Press platform.
Data correspond to usage on the plateform after 2015. The current usage metrics is available 48-96 hours after online publication and is updated daily on week days.
Initial download of the metrics may take a while.