Free Access
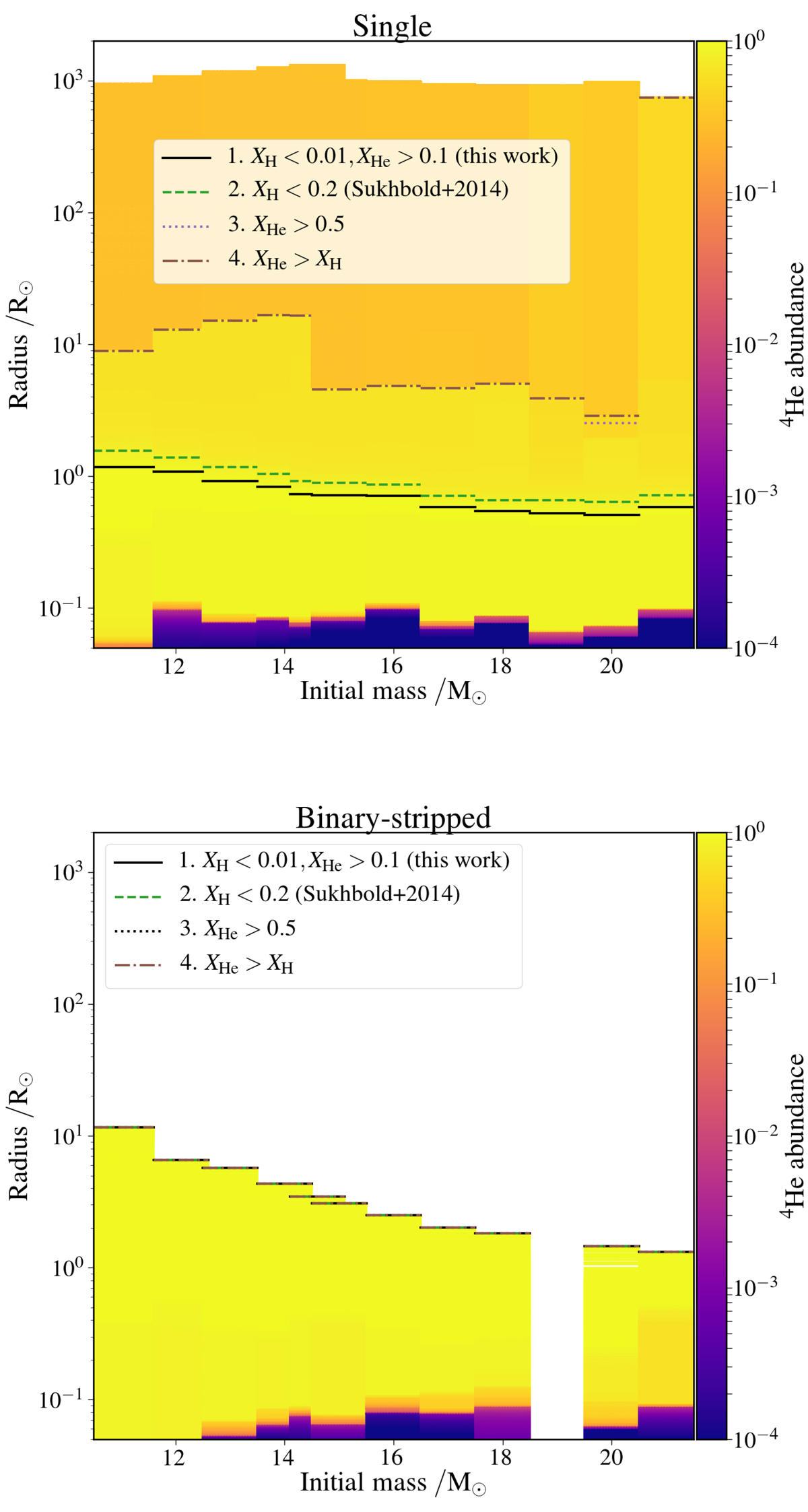
Fig. B.4.

Download original image
Radial coordinate as a function of the initial mass for the single-star models (top) and the binary-stripped star models (bottom) at the onset of core collapse. Colors indicate the mass fraction of 4He at each radial coordinate. Four different helium core mass definitions are indicated with horizontal lines.
Current usage metrics show cumulative count of Article Views (full-text article views including HTML views, PDF and ePub downloads, according to the available data) and Abstracts Views on Vision4Press platform.
Data correspond to usage on the plateform after 2015. The current usage metrics is available 48-96 hours after online publication and is updated daily on week days.
Initial download of the metrics may take a while.