Fig. D.3.

Download original image
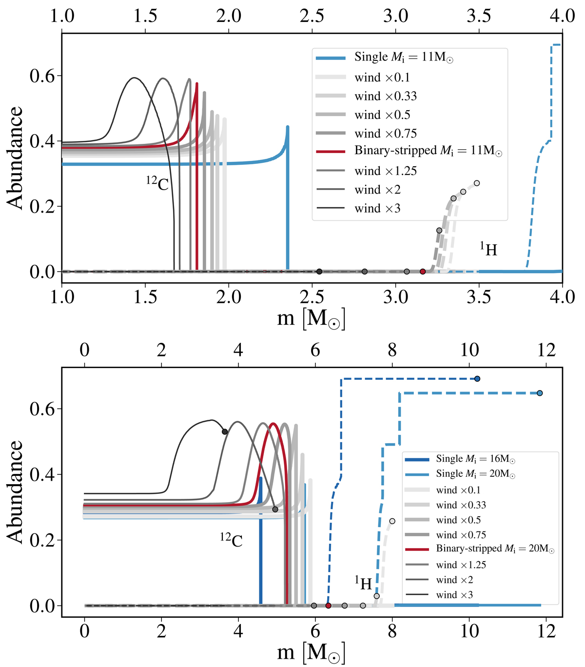
Impact of binary-stripped star wind variations on the composition profiles at the moment of core helium depletion as a function of the mass coordinate. We show our reference single (blue) and binary-stripped (red) star models with the same initial masses of 11 M⊙ (top panel) and 20 M⊙(bottom panel). In gray, we show how the profiles of the binary-stripped star models change when we vary the wind mass-loss rates by the factor indicated in the legend. Dashed and full lines indicate the mass fractions of 1H and 12C, respectively. The mass extent of the carbon-rich layer increases with higher wind mass-loss rates. The surface of the stellar models is indicated with a colored circle. In the top panel, we limit the mass range for clarity and do not show the entire hydrogen layer of the single-star model.
Current usage metrics show cumulative count of Article Views (full-text article views including HTML views, PDF and ePub downloads, according to the available data) and Abstracts Views on Vision4Press platform.
Data correspond to usage on the plateform after 2015. The current usage metrics is available 48-96 hours after online publication and is updated daily on week days.
Initial download of the metrics may take a while.