Free Access

Fig. 2

image

Download original image

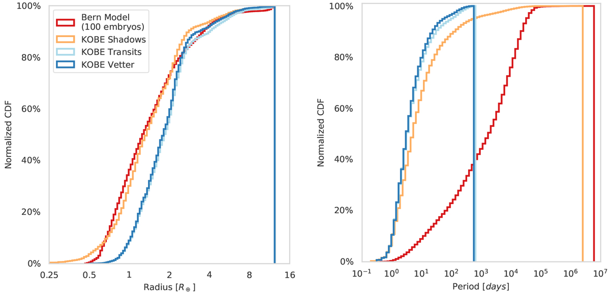
Effect of KOBE: Normalized cumulative distributions for radius (left) and period (right) for the 100 embryo population. The solid red curve represents the underlying population as calculated by the Bern Model. The orange curve is the output of KOBE-Shadows. KOBE-Transits’s pTCE catalogue is shown in light-blue, and the catalogue of planetary candidates, as vetted by KOBE-Vetter is shown in blue.

Current usage metrics show cumulative count of Article Views (full-text article views including HTML views, PDF and ePub downloads, according to the available data) and Abstracts Views on Vision4Press platform.

Data correspond to usage on the plateform after 2015. The current usage metrics is available 48-96 hours after online publication and is updated daily on week days.

Initial download of the metrics may take a while.