Fig. E.1

Download original image
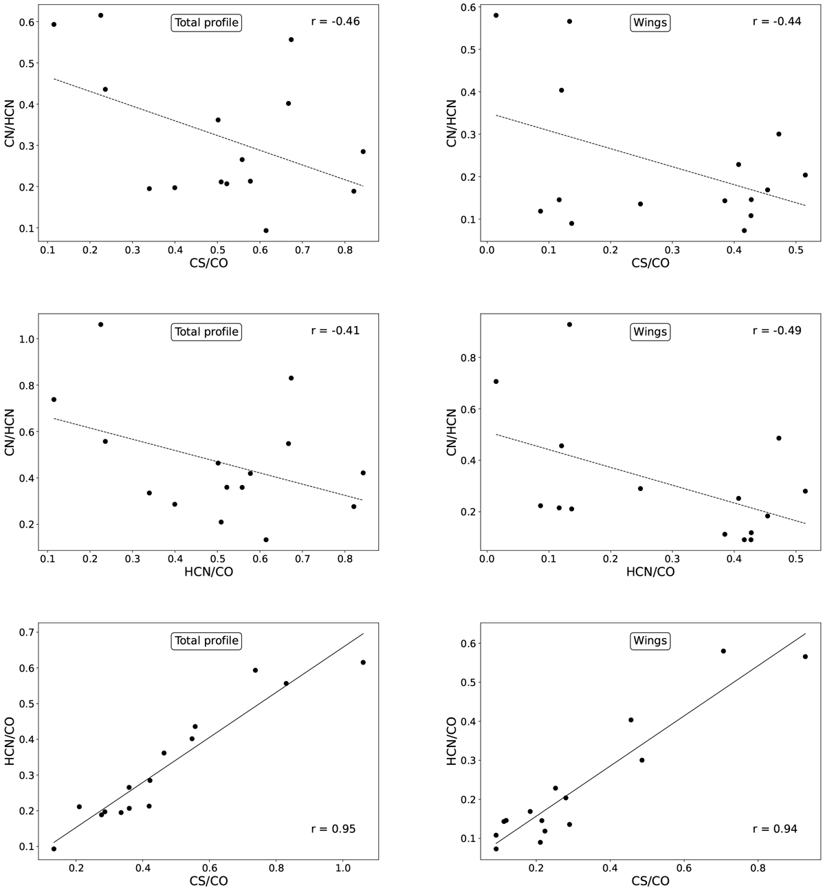
Correlations of the molecular line ratios of the fully integrated line profile (left panel) and the line wings (right panel) derived in protostellar and outflow positions. The Pearson coefficients (r) are shown on the plots; there are 15 data points in all cases. The solid lines show the best linear fits obtained with a least-squares method for cases where the Pearson coefficient exceeds the 3σ threshold. The dashed lines show the fits for cases where the Pearson coefficient corresponds to levels of 1.5–1.8σ.
Current usage metrics show cumulative count of Article Views (full-text article views including HTML views, PDF and ePub downloads, according to the available data) and Abstracts Views on Vision4Press platform.
Data correspond to usage on the plateform after 2015. The current usage metrics is available 48-96 hours after online publication and is updated daily on week days.
Initial download of the metrics may take a while.