Fig. F.2

Download original image
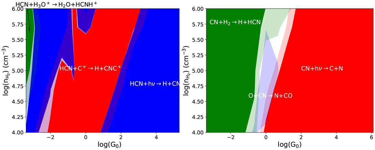
Dominant reactions of HCN (left) and CN (right) destruction assuming T = 300 K. Reactionscontributed at least 50% of total flux are marked with full colors. Transparent colors correspond to 30%-50% contribution. HCN + hν → H + CN reaction is shown in blue, HCN + C+ → H + CNC+ in red, and HCN + H3O+ → H2O + HCNH+ in green. CN + hν → C + N reaction is marked with red color, O + CN → N + CO with blue color and CN + H2 → H + HCN with green color.
Current usage metrics show cumulative count of Article Views (full-text article views including HTML views, PDF and ePub downloads, according to the available data) and Abstracts Views on Vision4Press platform.
Data correspond to usage on the plateform after 2015. The current usage metrics is available 48-96 hours after online publication and is updated daily on week days.
Initial download of the metrics may take a while.