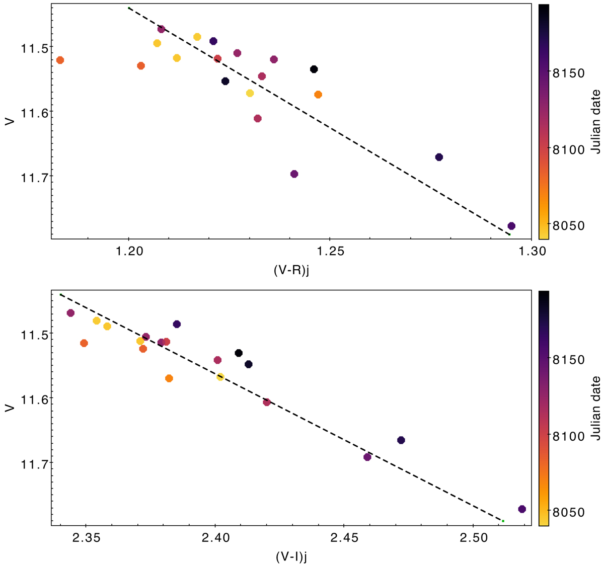
Fig. 4.

Download original image
V − (V − R)J (top) and V − (V − I)J (bottom) color-magnitude diagrams from CrAO multicolor photometry. The rms uncertainty is 0.013 mag in V and 0.020 mag in colors. The color code scales with the Julian date. The dashed line depicts the color slope of interstellar extinction. The system becomes redder when fainter, following a slope consistent with ISM reddening.
Current usage metrics show cumulative count of Article Views (full-text article views including HTML views, PDF and ePub downloads, according to the available data) and Abstracts Views on Vision4Press platform.
Data correspond to usage on the plateform after 2015. The current usage metrics is available 48-96 hours after online publication and is updated daily on week days.
Initial download of the metrics may take a while.