Free Access

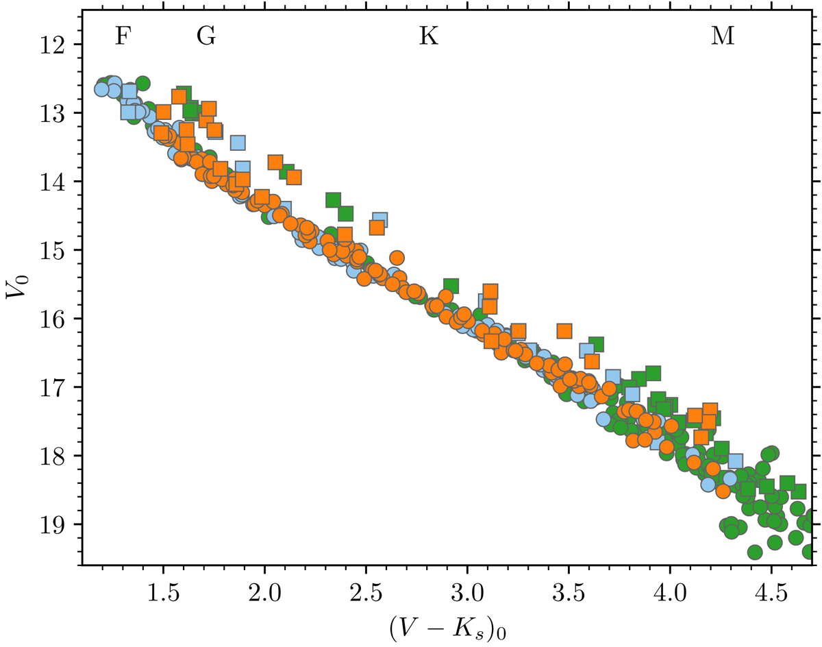
Fig. 1.

image

Download original image

Colour-magnitude diagram of the spectroscopically observed members of NGC 3532. In orange we show the rotators from Fritzewski et al. (2021) and in light blue from this work. We were unable to determine rotation periods for stars marked in green. Single stars are indicated with circles and candidate binaries from photometry and astrometry with squares.

Current usage metrics show cumulative count of Article Views (full-text article views including HTML views, PDF and ePub downloads, according to the available data) and Abstracts Views on Vision4Press platform.

Data correspond to usage on the plateform after 2015. The current usage metrics is available 48-96 hours after online publication and is updated daily on week days.

Initial download of the metrics may take a while.