Fig. 15.

image

Download original image

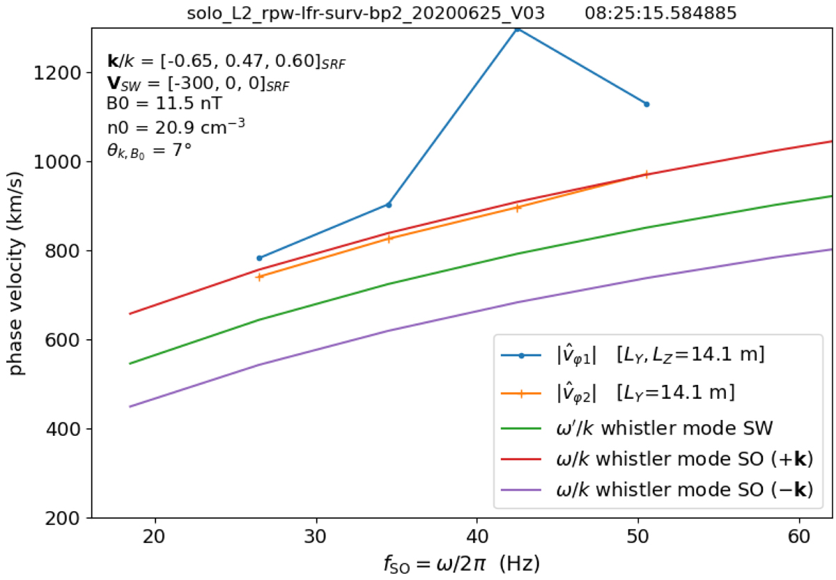
Case study of June 25, 2020: Same format and approximately the same time (08:25:15.6 UTC) as in Fig. 10, along with a comparison between the theoretical model and the observed phase velocities, obtained with the BP2 spectra shown in Fig. 14, with LY  =  LZ  =  14.1 m.

Current usage metrics show cumulative count of Article Views (full-text article views including HTML views, PDF and ePub downloads, according to the available data) and Abstracts Views on Vision4Press platform.

Data correspond to usage on the plateform after 2015. The current usage metrics is available 48-96 hours after online publication and is updated daily on week days.

Initial download of the metrics may take a while.