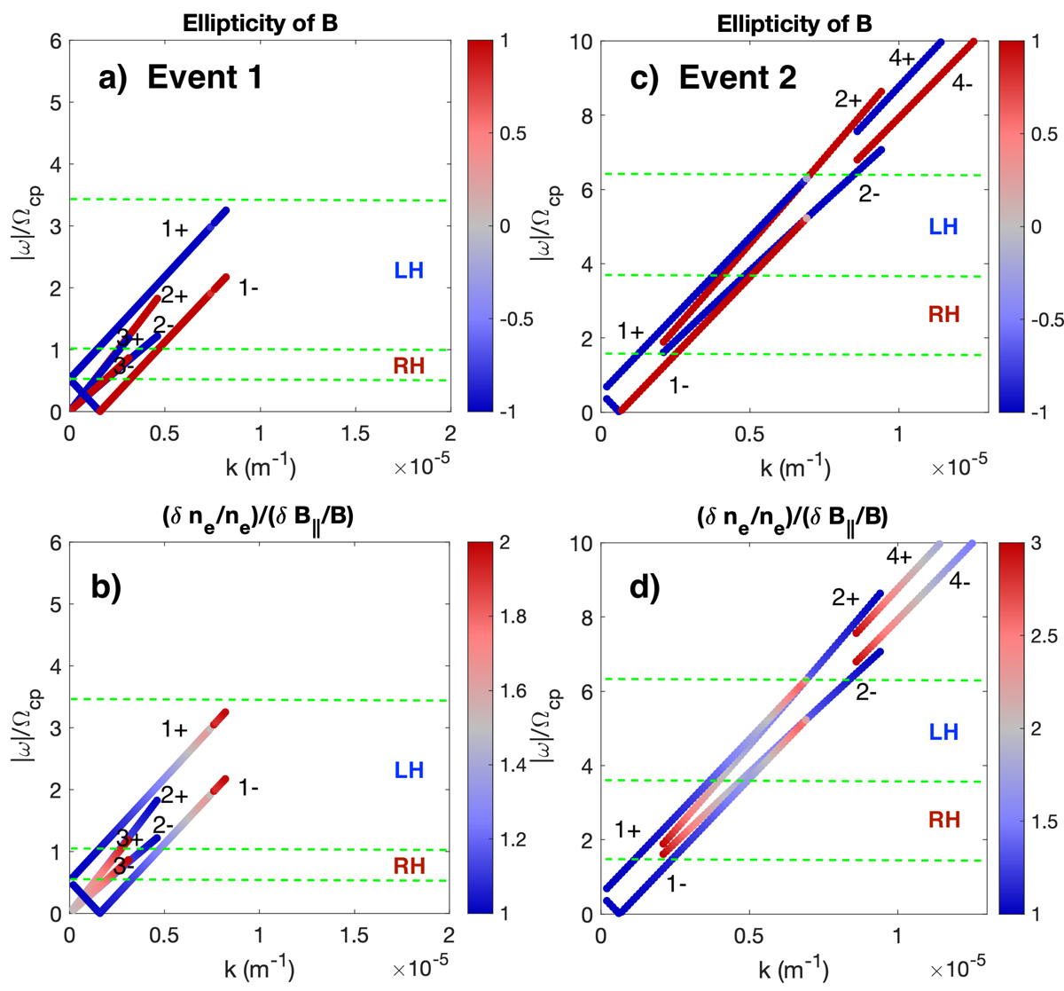
Fig. 9.

Download original image
Doppler-shifted dispersion relations: (a,c) show the sense of polarization and (b,d) compressibility ratio ξe. We mark the outward propagating waves with “+” and inward-propagating by “−”. We also indicate the frequency ranges for the observed RH and LH bands (green dashed lines), so that we are looking for the “blue” branches in the LH band, and the “red” branches in the RH band.
Current usage metrics show cumulative count of Article Views (full-text article views including HTML views, PDF and ePub downloads, according to the available data) and Abstracts Views on Vision4Press platform.
Data correspond to usage on the plateform after 2015. The current usage metrics is available 48-96 hours after online publication and is updated daily on week days.
Initial download of the metrics may take a while.