Fig. 5.

Download original image
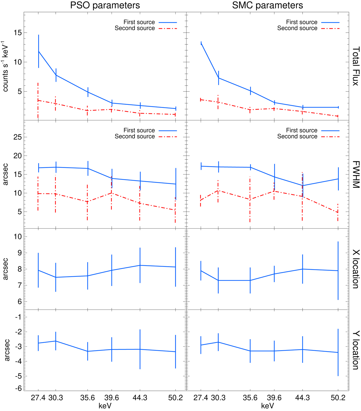
Parameter values and related uncertainties reconstructed by PSO (left column) and SMC (right column) from the visibility amplitudes measured on November 18, 2020 from 05:45:30 to 05:46:15 UT in the energy channels E1, E2, E3, E4, E5, and E6, which are identified in the abscissa by their weighted mean energies. From top to bottom: total flux and FWHM of the two sources and x and y coordinates of the center of the first source (the other one is symmetric with respect to the origin).
Current usage metrics show cumulative count of Article Views (full-text article views including HTML views, PDF and ePub downloads, according to the available data) and Abstracts Views on Vision4Press platform.
Data correspond to usage on the plateform after 2015. The current usage metrics is available 48-96 hours after online publication and is updated daily on week days.
Initial download of the metrics may take a while.