Free Access
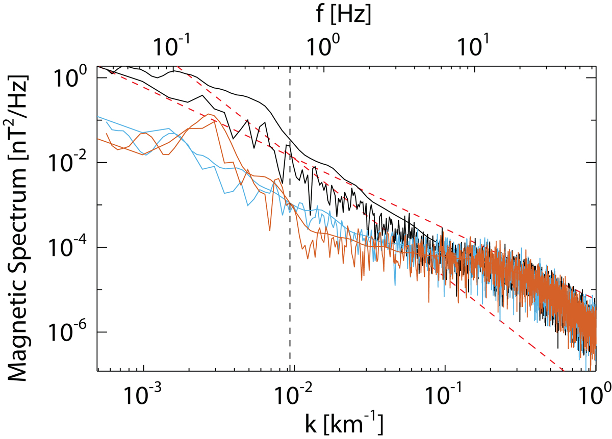
Fig. 4.

Download original image
Power spectral density measurements of the magnetic field at Solar Orbiter before (blue), during (black), and after (light red) the current sheet crossing shown in Fig. 1. Red dashed lines show −5/3 and −8/3 spectra and the black dashed line marks the ion inertial length.
Current usage metrics show cumulative count of Article Views (full-text article views including HTML views, PDF and ePub downloads, according to the available data) and Abstracts Views on Vision4Press platform.
Data correspond to usage on the plateform after 2015. The current usage metrics is available 48-96 hours after online publication and is updated daily on week days.
Initial download of the metrics may take a while.