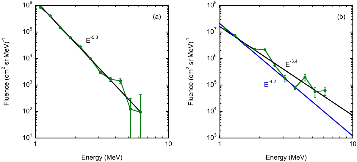
Fig. 10.

image

Download original image

Fluence spectrum of electrons from ⟨HET⟩ measured during the decay of the SEP event (panel a). The data are well fit by a power law with a spectral index of −5.3. The electron spectrum for the full event (excluding a 4 min period of DT2) is shown in panel b with two power law fits of indices −3.4 and −4.2 (see text for details).

Current usage metrics show cumulative count of Article Views (full-text article views including HTML views, PDF and ePub downloads, according to the available data) and Abstracts Views on Vision4Press platform.

Data correspond to usage on the plateform after 2015. The current usage metrics is available 48-96 hours after online publication and is updated daily on week days.

Initial download of the metrics may take a while.