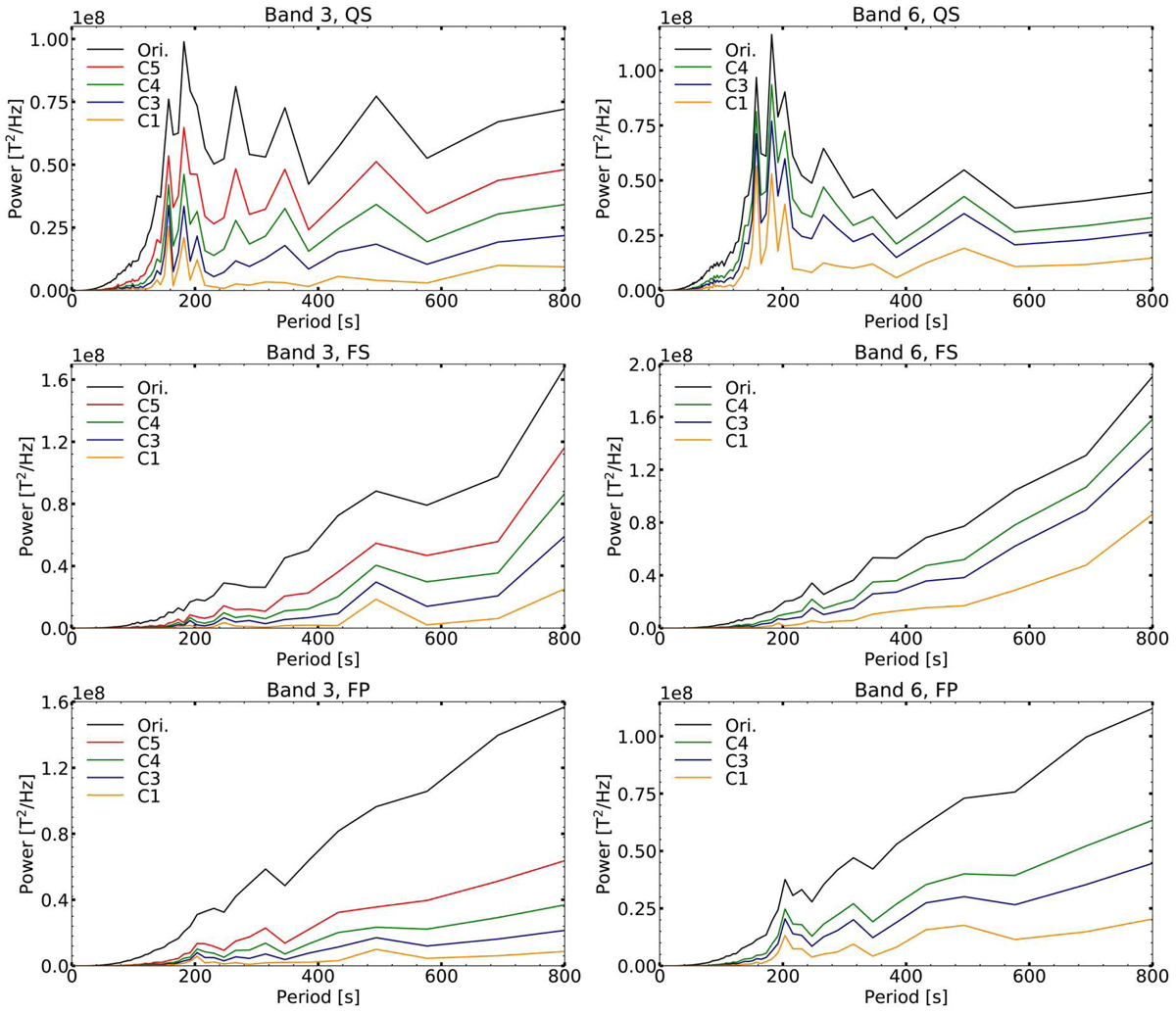
Fig. 9.

Download original image
Temporal power spectra of bands 3 (left column) and 6 (right column) at the three characteristically different regions (cf. Fig. 2). Upper row: QS region. Middle row: FS region. Bottom row: FP region. The spectra are calculated at the original resolution and at the resolutions corresponding to array configurations C1, C3, C4, and C5 for band 3 and C1, C3, and C4 for band 6, and they represent mean values over the FOV within each region.
Current usage metrics show cumulative count of Article Views (full-text article views including HTML views, PDF and ePub downloads, according to the available data) and Abstracts Views on Vision4Press platform.
Data correspond to usage on the plateform after 2015. The current usage metrics is available 48-96 hours after online publication and is updated daily on week days.
Initial download of the metrics may take a while.