Open Access
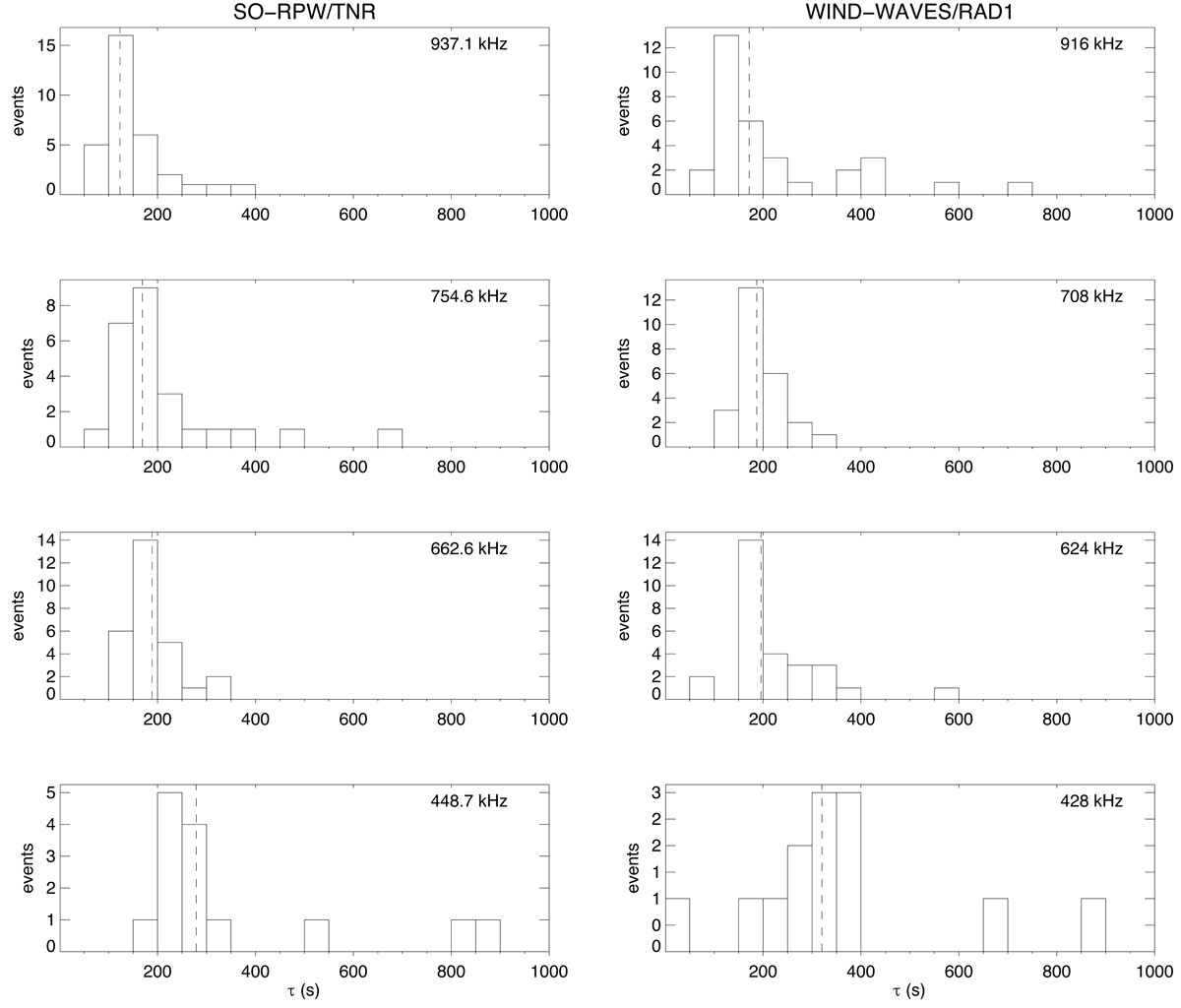
Fig. 7.

Download original image
Histogram of the τ calculated for each type III of the dataset at different frequencies for SO-RPW/TNR (left column) and Wind-Waves/RAD1 (right column). Dashed line indicates the median value.
Current usage metrics show cumulative count of Article Views (full-text article views including HTML views, PDF and ePub downloads, according to the available data) and Abstracts Views on Vision4Press platform.
Data correspond to usage on the plateform after 2015. The current usage metrics is available 48-96 hours after online publication and is updated daily on week days.
Initial download of the metrics may take a while.