Free Access
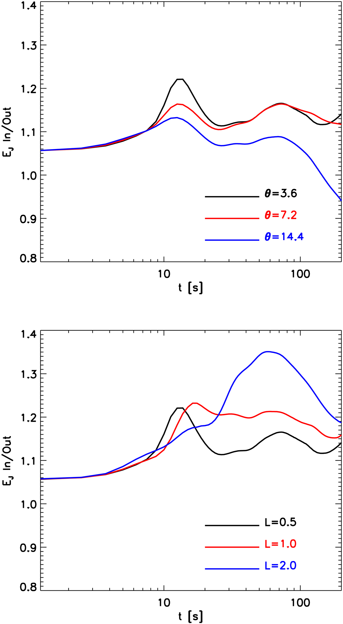
Fig. 15.

Download original image
(a) Time evolution of the asymmetry of the jets (ratio between the integral of EJ below and above yJ) for the three simulations, differing in terms of the angle θ. (b) Time evolution of the asymmetry of the jets for the three simulations, differing in terms of the width of the initial Bz distribution, L∥.
Current usage metrics show cumulative count of Article Views (full-text article views including HTML views, PDF and ePub downloads, according to the available data) and Abstracts Views on Vision4Press platform.
Data correspond to usage on the plateform after 2015. The current usage metrics is available 48-96 hours after online publication and is updated daily on week days.
Initial download of the metrics may take a while.