Free Access

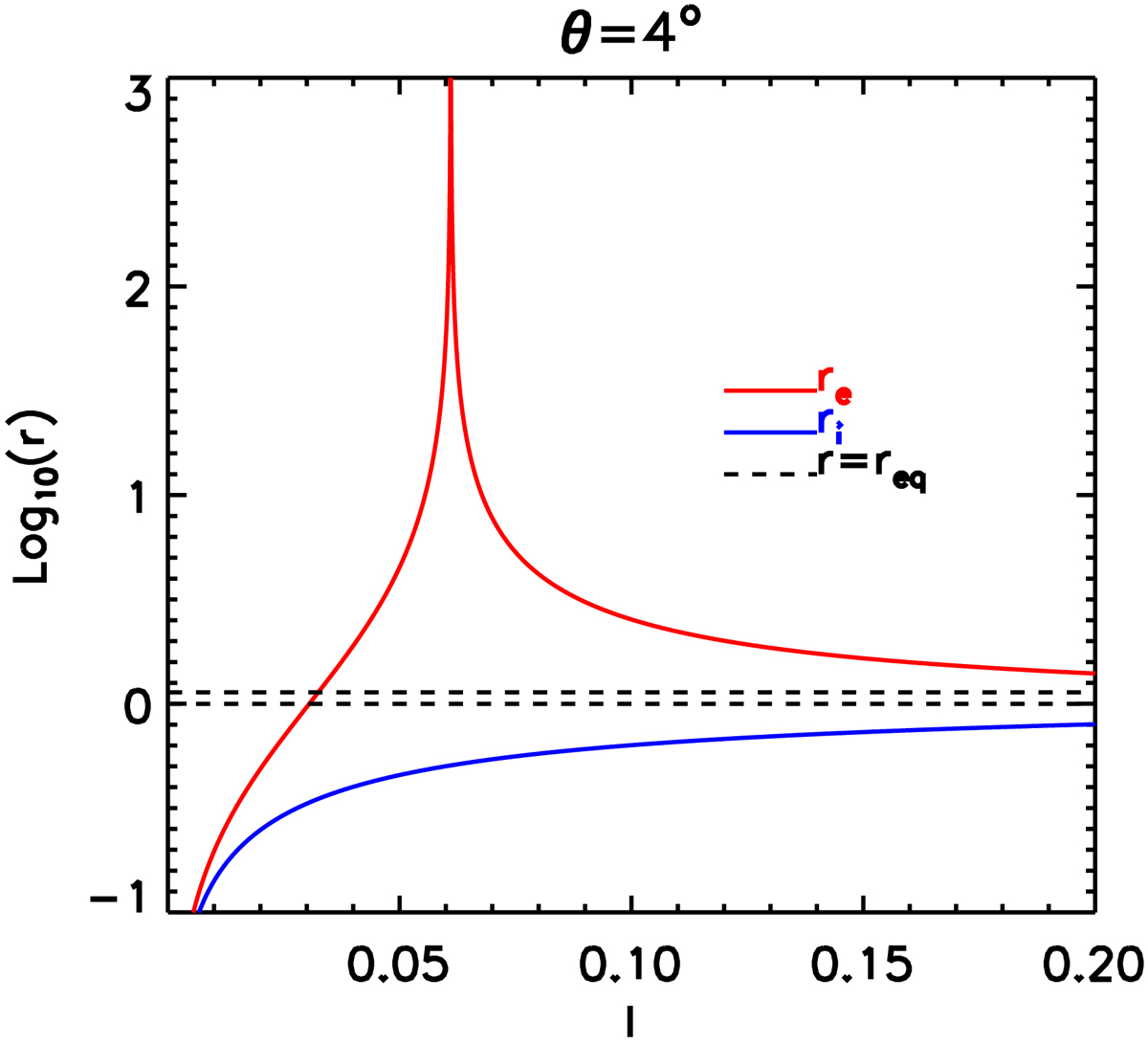
Fig. 3.

image

Download original image

Values of the curvature radii ri (blue line) and re (red line) of the arcs in the post-reconnection field lines as a function of length, l. The dashed black lines represent the minimum and maximum of the curvature radius of the pre-reconnection magnetic field lines.

Current usage metrics show cumulative count of Article Views (full-text article views including HTML views, PDF and ePub downloads, according to the available data) and Abstracts Views on Vision4Press platform.

Data correspond to usage on the plateform after 2015. The current usage metrics is available 48-96 hours after online publication and is updated daily on week days.

Initial download of the metrics may take a while.