Free Access

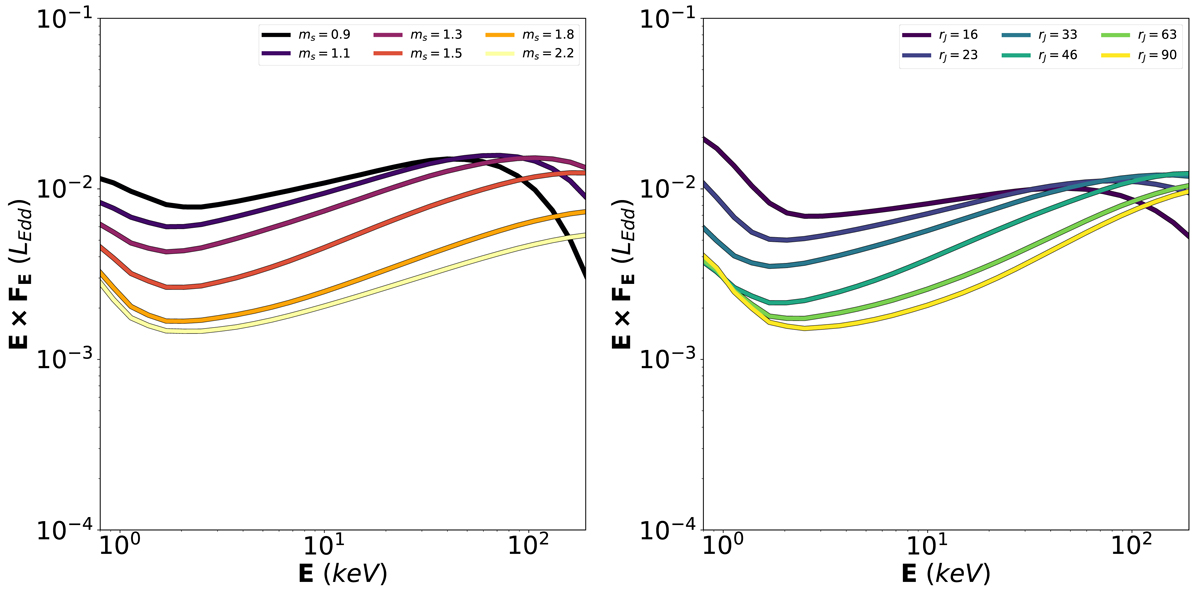
Fig. 6.

image

Download original image

JED solutions showing the impact of mS and RJ on the high energy cutoff. Left panel: different JED solutions obtained keeping RJ to 40 RG for different values of mS. Right panel: different JED solutions are produced for different values of RJ, here expressed as rJ = RJ/RG, and mS fixed to 1.5. The plot is used to display how increasing both mS and increasing RJ pushes the hard X-rays cutoff to higher energies.

Current usage metrics show cumulative count of Article Views (full-text article views including HTML views, PDF and ePub downloads, according to the available data) and Abstracts Views on Vision4Press platform.

Data correspond to usage on the plateform after 2015. The current usage metrics is available 48-96 hours after online publication and is updated daily on week days.

Initial download of the metrics may take a while.