Fig. 3.

Download original image
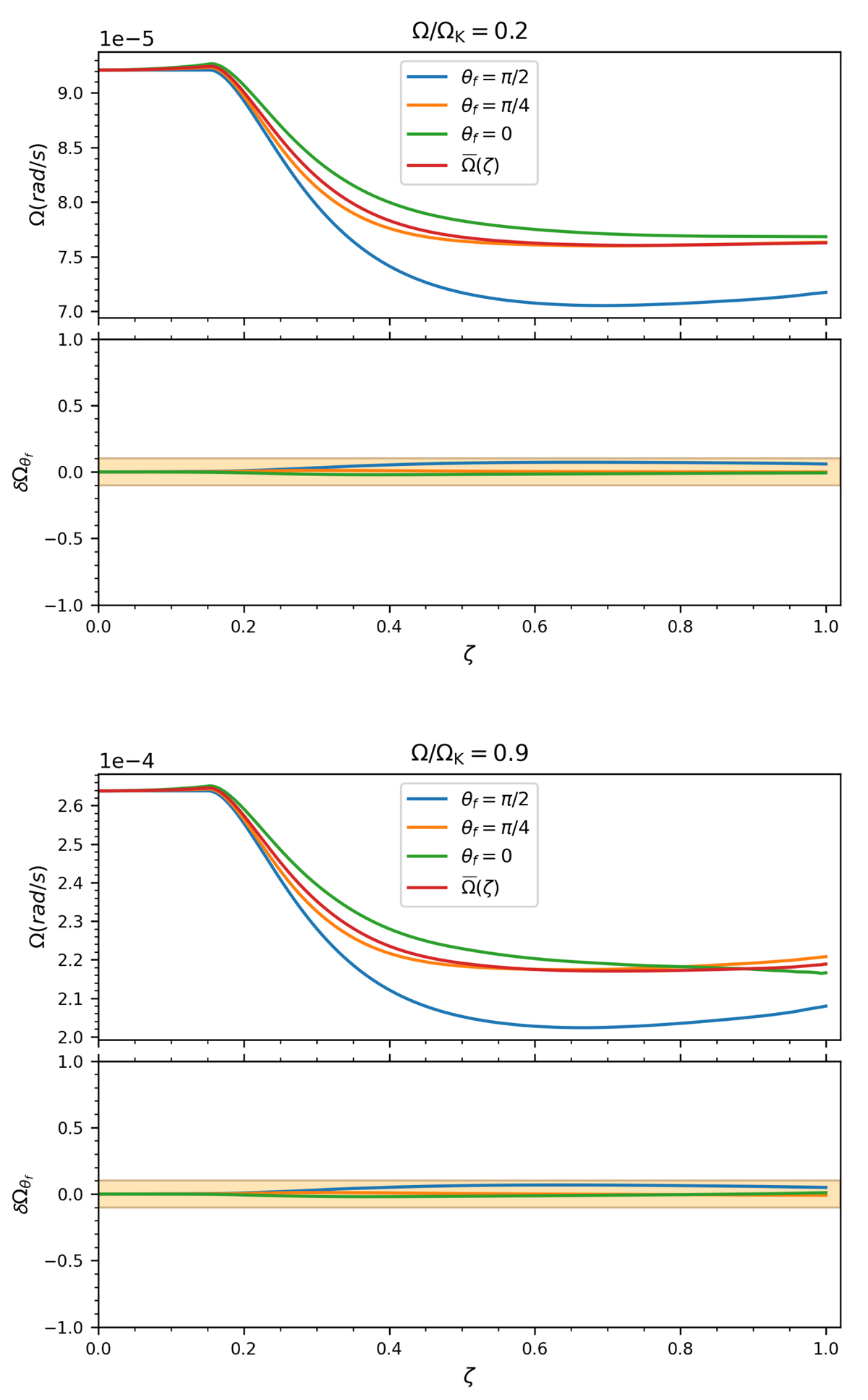
Profile of the angular velocity Ω and the relative error δΩθf of the approximation Ω(ζ, θ)≈Ω(ζ) as a function of ζ at different colatitudes θf using an ESTER model rotating at the equator at 20% (above) and 90% (below) of the Keplerian break-up rotation rate (the light orange area indicate the margin of error which we allow).
Current usage metrics show cumulative count of Article Views (full-text article views including HTML views, PDF and ePub downloads, according to the available data) and Abstracts Views on Vision4Press platform.
Data correspond to usage on the plateform after 2015. The current usage metrics is available 48-96 hours after online publication and is updated daily on week days.
Initial download of the metrics may take a while.