Fig. 5.

Download original image
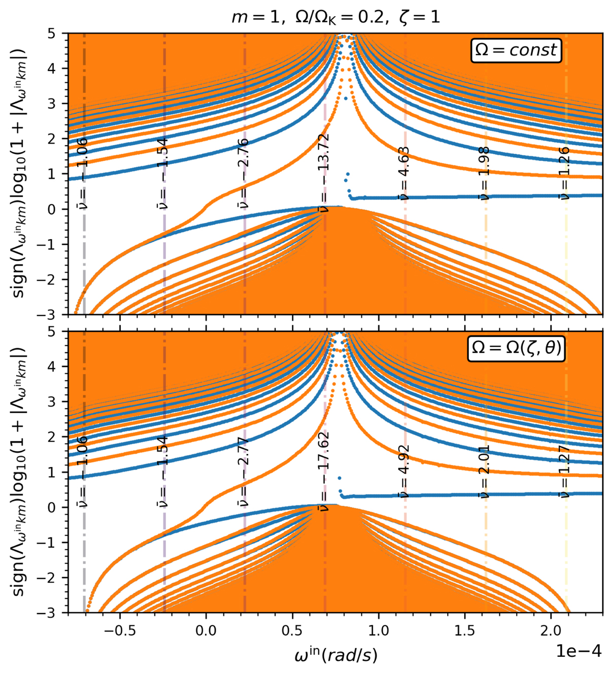
Spectrum of the GLTE as a function of the wave frequency in the inertial frame ωin at ζ = 1 and m = 1 for Ω = 0.2ΩK in the case of a uniformly rotating star (above) and of a differentially rotating star (below). Blue (respectively, orange) dots correspond to even (respectively, odd) eigenfunctions. The vertical lines correspond to the mean values of the spin parameter .
Current usage metrics show cumulative count of Article Views (full-text article views including HTML views, PDF and ePub downloads, according to the available data) and Abstracts Views on Vision4Press platform.
Data correspond to usage on the plateform after 2015. The current usage metrics is available 48-96 hours after online publication and is updated daily on week days.
Initial download of the metrics may take a while.