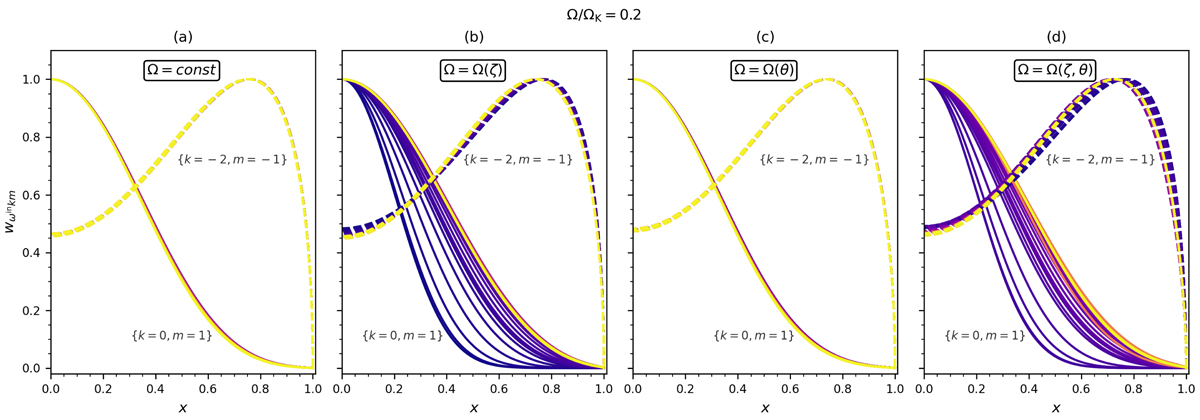
Fig. 7.

Download original image
Generalised Hough functions (normalised) as a function of the horizontal coordinate x at different pseudo-radii from ζ = 0.153 (blue) to ζ = 1 (yellow) at Ω/ΩK = 0.2 for gravity-like solutions {k = 0, m = 1} with ωin = 10−4 rad s−1 corresponding to (the solid lines) and Rossby-like solutions {k = −2, m = −1} with ωin = −5.5 × 10−5 rad s−1 corresponding to
(the dotted lines) in the case of a star: (a) uniformly rotating, (b) differentially rotating according to the pseudo-radius, (c) differentially rotating according to the colatitude and (d) differentially rotating according to the pseudo-radius and the colatitude.
Current usage metrics show cumulative count of Article Views (full-text article views including HTML views, PDF and ePub downloads, according to the available data) and Abstracts Views on Vision4Press platform.
Data correspond to usage on the plateform after 2015. The current usage metrics is available 48-96 hours after online publication and is updated daily on week days.
Initial download of the metrics may take a while.