Fig. 8.

Download original image
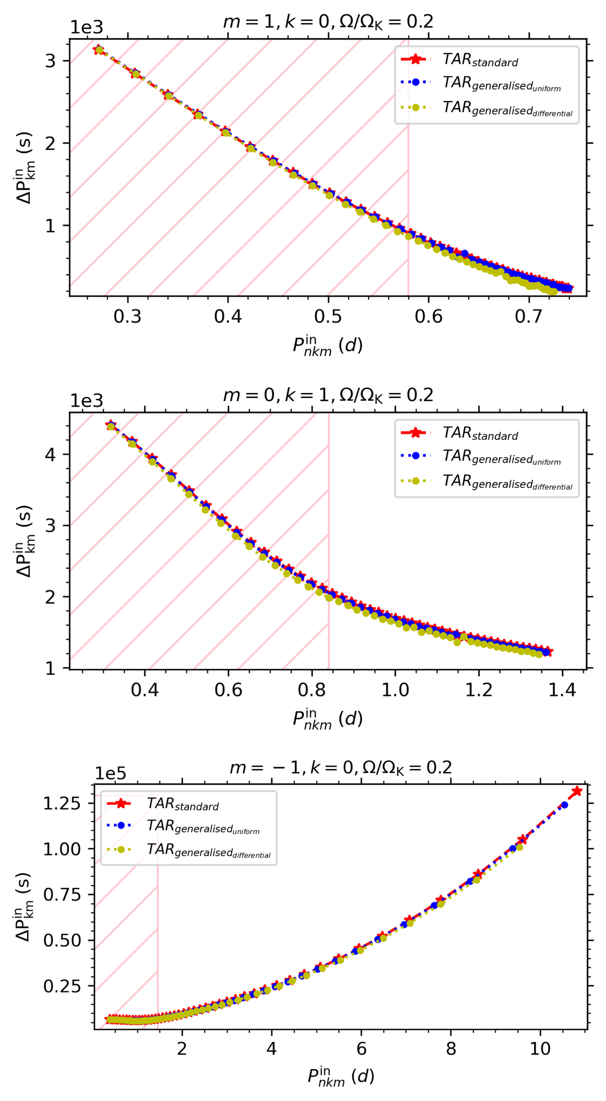
Period spacing pattern in the inertial frame computed for {k = 0, m = 1} (top) {k = 1, m = 0} (middle), {k = 0, m = −1} (bottom) modes at Ω/ΩK = 20% in a spherical (red) and a deformed (blue) star uniformly rotating (at the weighted mean of the rotation rate Hz) and in a deformed star differentially rotating (yellow). The hatched pink area indicates where the Cowling approximation is potentially invalid. (The fluctuations in the period spacing pattern are caused by the numerical noise which is introduced by the numerical derivatives of the mapping with respect to ζ and θ used in the resolution of the GLTE.)
Current usage metrics show cumulative count of Article Views (full-text article views including HTML views, PDF and ePub downloads, according to the available data) and Abstracts Views on Vision4Press platform.
Data correspond to usage on the plateform after 2015. The current usage metrics is available 48-96 hours after online publication and is updated daily on week days.
Initial download of the metrics may take a while.