Fig. 2

Download original image
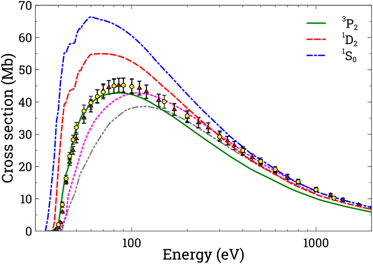
Electron-impact single-ionization cross-sections for levels (3P2, 1D2, and 1S0) of the ground configuration of the Ar2+ ion. DI cross-sections are obtained in the potential of the ionized ion. Experiment: open circles with error bars – Diserens et al. (1988); open triangles with error bars – Man et al. (1993). Dotted line (magenta) – CADW total single-ionization cross-sections (Loch et al. 2007), dash-dash-dotted line (gray) – CADW DI cross-sections (Loch et al. 2007).
Current usage metrics show cumulative count of Article Views (full-text article views including HTML views, PDF and ePub downloads, according to the available data) and Abstracts Views on Vision4Press platform.
Data correspond to usage on the plateform after 2015. The current usage metrics is available 48-96 hours after online publication and is updated daily on week days.
Initial download of the metrics may take a while.