Fig. 4

Download original image
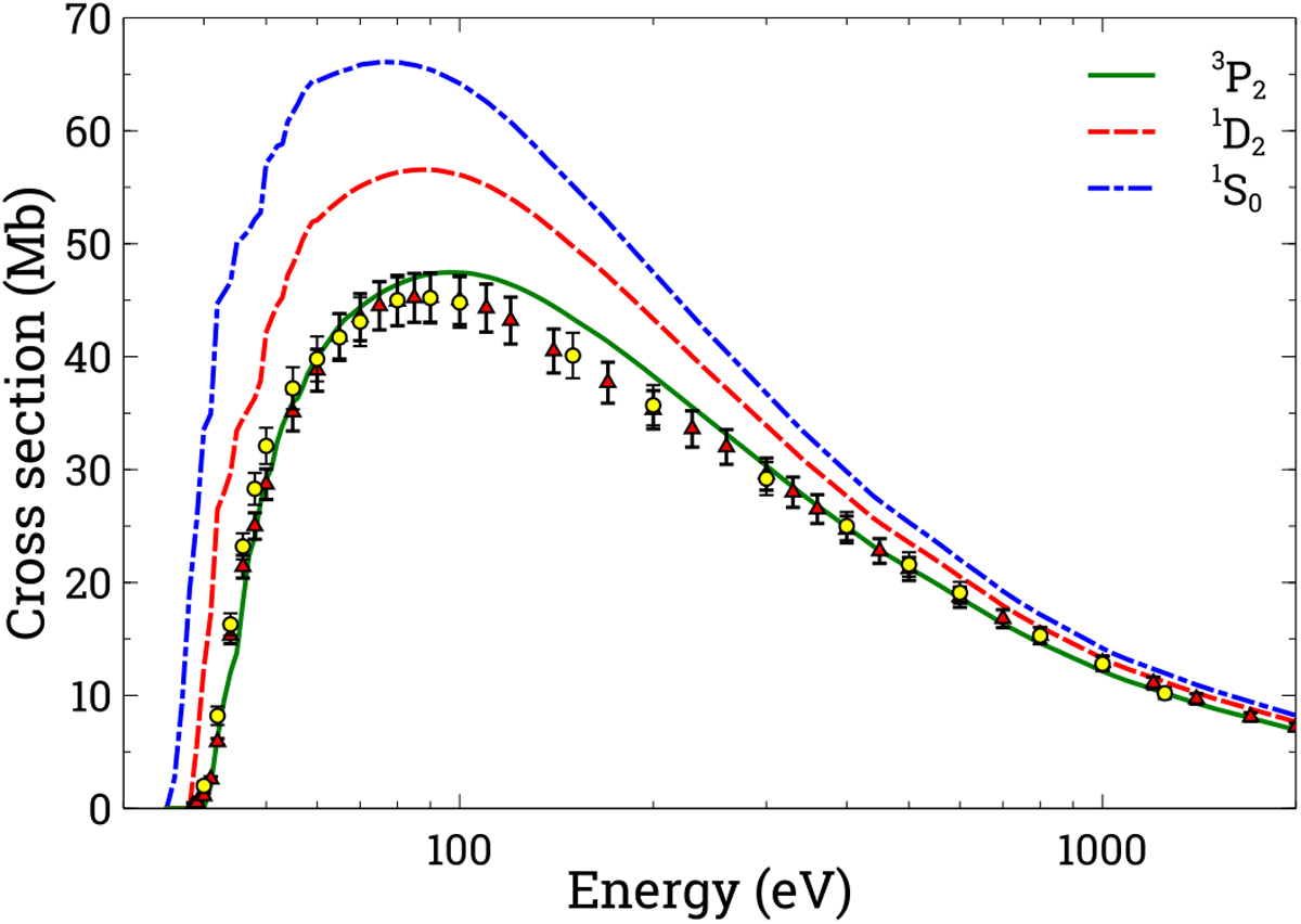
Electron-impact single-ionization cross-sections for levels 3P2, 1D2, and 1S0 of the ground configuration of the Ar2+ ion. DI cross-sections are obtained in the potential of the ionizing ion. The single-ionization cross-sections are calculated using the corrected energy levels of the Ar3+ ion. Experiment: open circles with error bars – Diserens et al. (1988); open triangles with error bars – Man et al. (1993). See text for details.
Current usage metrics show cumulative count of Article Views (full-text article views including HTML views, PDF and ePub downloads, according to the available data) and Abstracts Views on Vision4Press platform.
Data correspond to usage on the plateform after 2015. The current usage metrics is available 48-96 hours after online publication and is updated daily on week days.
Initial download of the metrics may take a while.