Free Access

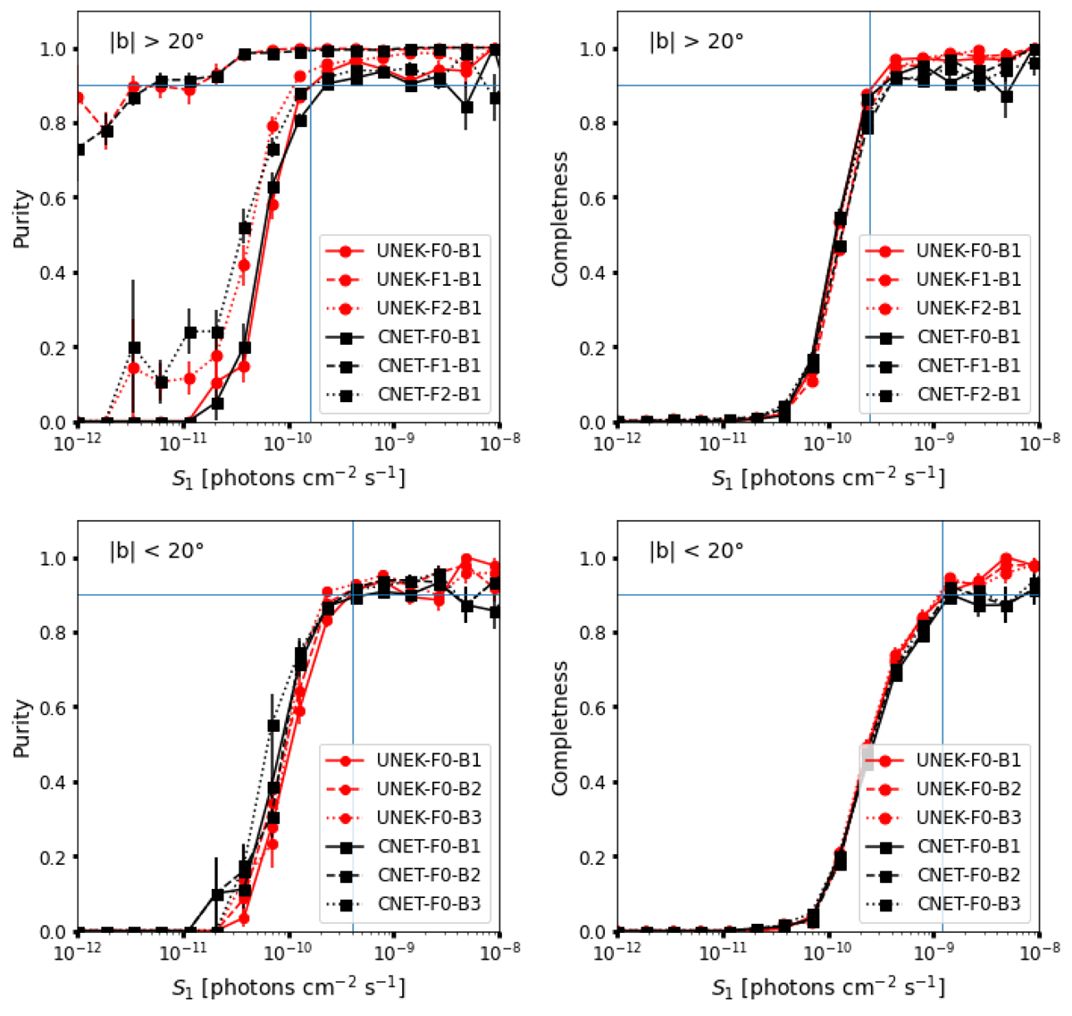
Fig. 5.

image

Download original image

Purity (left) and Completness (right) as a function of photon flux above 1 GeV, S1. The top panel focuses on for high latitudes and shows results for the three different luminosity functions (F0-F2 test data), while the bottom pannel focuses on low latitudes and shows the results for the three different IEM (B1-B3 models). Results of the UNEK algorithm are shown in red, and CNET in black.

Current usage metrics show cumulative count of Article Views (full-text article views including HTML views, PDF and ePub downloads, according to the available data) and Abstracts Views on Vision4Press platform.

Data correspond to usage on the plateform after 2015. The current usage metrics is available 48-96 hours after online publication and is updated daily on week days.

Initial download of the metrics may take a while.