Fig. 7.

Download original image
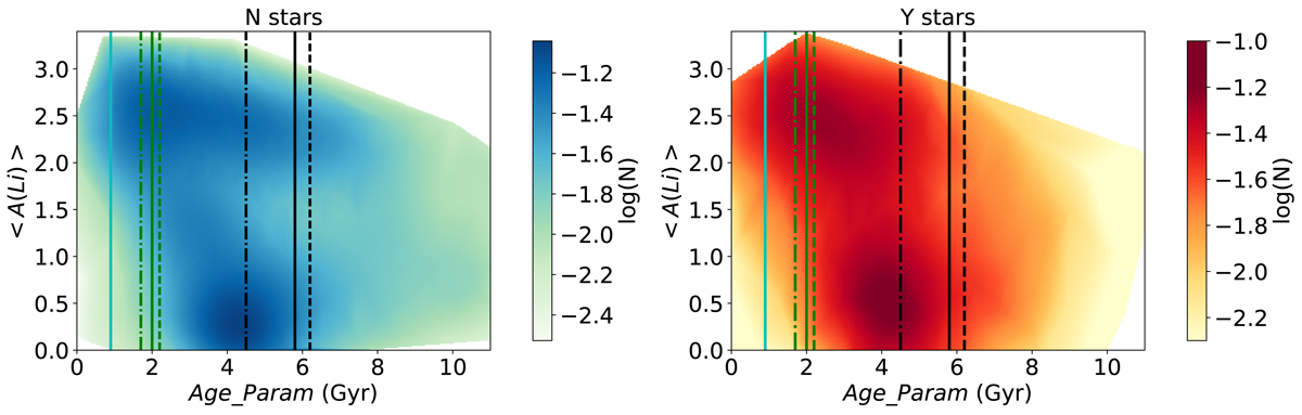
Mean A(Li) computed in 0.1 dex bins vs. mean Age_Param in 0.6 Gyr bins, for stars without known planets (N, left) and those that host confirmed planets (Y, right). Vertical lines show the last star formation burst in Ruiz-Lara et al. (2020) (line colours and styles as in Fig. 6). Colour bars show the logarithm of the number of stars per A(Li)-age bin, normalised to unity. Equivalent plots with only thin- and/or thick-disk stars only are available upon request to the authors.
Current usage metrics show cumulative count of Article Views (full-text article views including HTML views, PDF and ePub downloads, according to the available data) and Abstracts Views on Vision4Press platform.
Data correspond to usage on the plateform after 2015. The current usage metrics is available 48-96 hours after online publication and is updated daily on week days.
Initial download of the metrics may take a while.