Free Access

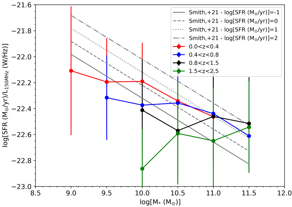
Fig. 5.

image

Download original image

Ratio of the radio luminosity at 150 MHz to the SFR as a function of M of SFGs plus RQ AGN for four redshift bins. The points are the modes of the distributions of log(SFR/L150 MHz). The error bars are the interquartile errors. The straight lines show, for comparison, the relations derived by Smith et al. (2021) for 4 values of the SFR. Although these relations are steeper than ours, the agreement is good for SFGs with typical properties, i.e. where we have more data, both globally and for each redshift bin (see text).

Current usage metrics show cumulative count of Article Views (full-text article views including HTML views, PDF and ePub downloads, according to the available data) and Abstracts Views on Vision4Press platform.

Data correspond to usage on the plateform after 2015. The current usage metrics is available 48-96 hours after online publication and is updated daily on week days.

Initial download of the metrics may take a while.