Free Access

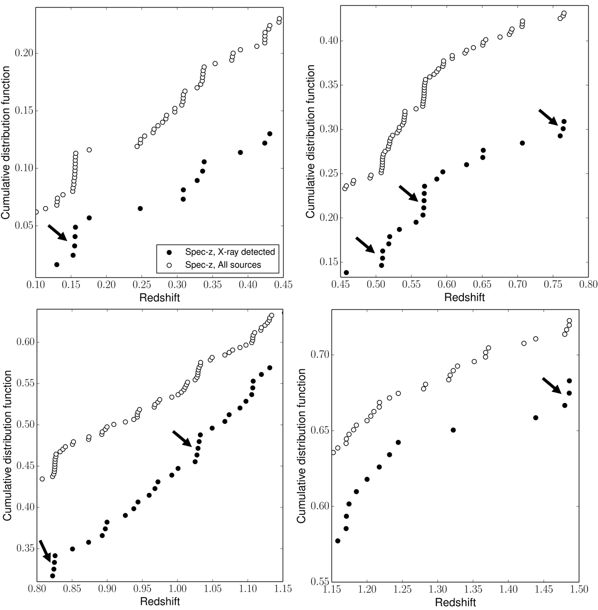
Fig. 12.

image

Download original image

Cumulative distribution function for the Chandra J1030 sources with a spectroscopic redshift (full markers), and for all the J1030 sources with a spectroscopic redshift, including the nonX-ray detected ones (empty markers). The overall CDF is shifted by 0.05 for visualization purposes. The structures identified within the Chandra J1030 population are marked with arrows: as can be seen, the X-ray sources effectively track the overall population.

Current usage metrics show cumulative count of Article Views (full-text article views including HTML views, PDF and ePub downloads, according to the available data) and Abstracts Views on Vision4Press platform.

Data correspond to usage on the plateform after 2015. The current usage metrics is available 48-96 hours after online publication and is updated daily on week days.

Initial download of the metrics may take a while.