Fig. 2.

Download original image
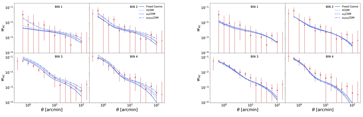
CCF data computed on Herschel SMGs (as background sample) and GAMA galaxies (as lenses sample) in the mini-Tiles data sets (red points) for the different redshift bins (from left to right, top to bottom): 0.1–0.2 (Bin1), 0.2–0.3 (Bin2), 0.3–0.5 (Bin3), and 0.5–0.8 (Bin4). The empty circles are the data discarded from the MCMC analysis, as explained in the text. The best fits performed in this work are also shown: the runs allowing for astrophysical parameters only (solid line) and for astrophysical and cosmological parameters: σ8, ΩM, and h (dotted line); σ8, ΩM, h, and ω0 (dashed line); and σ8, ΩM, h, ω0, and ωa (dash-dotted line). In the left panel the peaks of the marginalised 1D posterior distributions are used, and in the right panel the mean is used.
Current usage metrics show cumulative count of Article Views (full-text article views including HTML views, PDF and ePub downloads, according to the available data) and Abstracts Views on Vision4Press platform.
Data correspond to usage on the plateform after 2015. The current usage metrics is available 48-96 hours after online publication and is updated daily on week days.
Initial download of the metrics may take a while.