Free Access

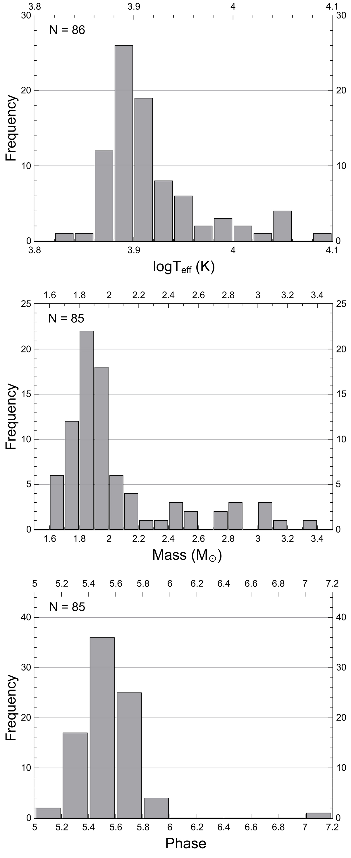
Fig. 4.

image

Download original image

Distribution of determined effective temperatures (upper panel), estimated masses (middle panel), and estimated evolutionary phases (lower panel). The labeling in the lower panel follows the format of the employed models (Bressan et al. 2012), in which phase 5 represents the zero age main sequence (ZAMS) and phase 6 the terminal age main sequence (TAMS). The large uncertainty in luminosity for one star (ZTFJ232952.58+501457.3) prevented us from calibrating the corresponding mass and phase values.

Current usage metrics show cumulative count of Article Views (full-text article views including HTML views, PDF and ePub downloads, according to the available data) and Abstracts Views on Vision4Press platform.

Data correspond to usage on the plateform after 2015. The current usage metrics is available 48-96 hours after online publication and is updated daily on week days.

Initial download of the metrics may take a while.