Free Access
Fig. 13

Download original image
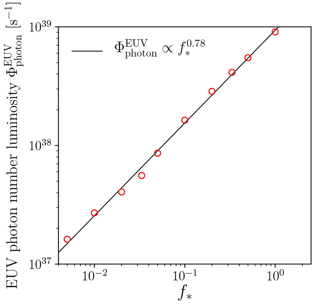
Magnetic filling factor on the photosphere f* versus photon number luminosity in the EUV range. Each simulation run corresponds to each red circle. The black solid line shows the power-law fitting to the simulation results.
Current usage metrics show cumulative count of Article Views (full-text article views including HTML views, PDF and ePub downloads, according to the available data) and Abstracts Views on Vision4Press platform.
Data correspond to usage on the plateform after 2015. The current usage metrics is available 48-96 hours after online publication and is updated daily on week days.
Initial download of the metrics may take a while.